全部版块 我的主页
论坛 数据科学与人工智能 数据分析与数据科学 R语言论坛
831 1
2021-08-27
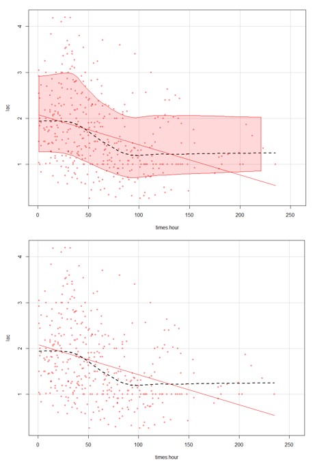
我的数据是想做lac值随时间变化的趋势,代码:
scatterplot(lac~times.hour, boxplots=FALSE, col="red",
            smooth=list(col.smooth="black",var=T, span=0.5),
            regLine=list(method=lm, lty=1, lwd=1), cex=0.5,data=data_lac)

用我的数据做完图以后发现会有一个类似区间的阴影部分,但是不知道是哪个参数控制的,于是去找了smooth=TRUE的解释,“The default behavior of smooth=TRUE is equivalent to smooth=list(smoother=loessLine, var=!by.groups, lty.var=2, lty.var=4, style="filled", alpha=0.15, border=TRUE, vertical=TRUE)”. 试着将程序里的 smooth=list(col.smooth="black",var=T, span=0.5)中的var=T 改成var=F,发现这个阴影部分就不见了。我觉得可能是这个参数控制了这个区间的显示与否。我想知道这个区间是一个什么区间,没有找到文献,有谁知道吗
屏幕截图 2021-08-27 172914.jpg


二维码

扫码加我 拉你入群

请注明:姓名-公司-职位

以便审核进群资格,未注明则拒绝

全部回复
2022-10-29 19:07:53
我也想知道,蹲一个回答
二维码

扫码加我 拉你入群

请注明:姓名-公司-职位

以便审核进群资格,未注明则拒绝

相关推荐
栏目导航
热门文章
推荐文章

说点什么

分享

扫码加好友,拉您进群
各岗位、行业、专业交流群