全部版块 我的主页
论坛 提问 悬赏 求职 新闻 读书 功能一区 经管文库(原现金交易版)
5984 7
2022-02-16

管理者过度自信与企业风险承担



仅供学习参考,祝大家科研顺利~~

✔数据来源和样本筛选

样本为2008~2020年发行了A股的非金融类上市公司,剔除了在观测时段内管理者发生变更的企业,剔除了存在缺失的变量值,剔除了ST类企业,因为这类企业是在一种异常的状态下经营。

所使用的数据包括企业特征数据和高管个人特征数据。



✔变量设计

被解释变量-风险承担计算说明

主要用企业盈利的波动性衡量风险承担水平,。ROA为企业i相应年度的税息折旧及摊销前利润(EBITDA)与当年末资产总额的比率。计算波动性时,我们先对企业每一年的ROA采用行业平均值进行调整,然后计算企业在每一观测时段内经行业调整的ROA的标准差。即:
9bb4e33d4568747470733a2f2f6262732d7069632e64617461636f757273652e636e2f666f72756d.png


解释变量-管理者过度自信计算说明
我们关注的总经理个人特征包括:
(1)性别。尽管男性和女性都有过度自信的倾向,但女性更为谨慎和保守。因此,若总经理为男性,则Genderd为1,否则为0。
(2)年龄。高年龄管理者更倾向于规避风险,也可能更恰当地认识自身所掌握的技能。因此,若总经理年龄小于样本平均值,则Aged为1,否则为0。
(3)学历。教育水平更高的人更相信自身的能力和判断的准确性,更可能表现出过度自信。因此,若总经理学历为本科以上,则Educationd为1,否则为0。
(4)教育背景。有经管类教育背景的管理者,对风险和收益的理解可能更深刻,所以过度自信的倾向可能更弱(。因此,若总经理不具有经管类教育背景,则Backgroundd为1,否则为0。
(5)两职合一。总经理同时被授予董事长职务,这会潜在地提高总经理对自身能力的认可度,进一步推动其在决策中表现出过度自信倾向。因此,若总经理兼任董事长,则Chairmand为1,否则为0。
不同特征所反映的信息会有差异,所以单一特征衡量管理者过度自信可能会存在片面性。我们进一步构建一个综合变量OC来定义管理者过度自信。具体来说,我们计算每一位总经理以上五项特征的总取值,若取值为4或5(同时具备其中任何四项或以上特征),则将其定义为过度自信,OC为1,否则为0。


控制变量
  • 考虑以下影响企业风险承担行为的因素:
  • 企业规模(Size),定义为总资产的自然对数;
  • 杠杆率(Leverage),定义为总负债与总资产的比例;
  • 销售增长(Gsales),定义为企业营业收入的年增长率;
  • 企业年龄(Fage),定义为企业成立年限加1后取自然对数,即1n(1+企业成立年限);
  • 所有权(Ownership),定义为企业第一大股东年末的持股比例,检验时我们将持股比例小于20%的取值,全部赋值为0;
  • 所有权性质(State),若企业第一大股东所持股份的性质属于国有则取值1,否则为0。
  • 行业虚拟变量(IndustryD)
  • 年度虚拟变量(YearD)


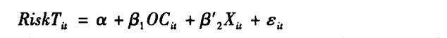
✔模型设计
基础回归模型

a1a152aa0368747470733a2f2f6262732d7069632e64617461636f757273652e636e2f666f72756d.png


风险承担对企业资本配置效率的影响
3c95cbc5bc68747470733a2f2f6262732d7069632e64617461636f757273652e636e2f666f72756d.png


风险承担对企业价值的影响
805e21461a68747470733a2f2f6262732d7069632e64617461636f757273652e636e2f666f72756d.png



✔参考文献

余明桂, 李文贵, 潘红波. 管理者过度自信与企业风险承担[J]. 金融研究, 2013(1):15.

✔结果截图

描述性统计
d3e2ce0d6e68747470733a2f2f6262732d7069632e64617461636f757273652e636e2f666f72756d.png


单变量均值检验
3f7d82ed4168747470733a2f2f6262732d7069632e64617461636f757273652e636e2f666f72756d.png


中位数秩和检验
7fdd81b92d68747470733a2f2f6262732d7069632e64617461636f757273652e636e2f666f72756d.png


相关性分析
229b8935b068747470733a2f2f6262732d7069632e64617461636f757273652e636e2f666f72756d.png


基础回归

7e66c99f9468747470733a2f2f6262732d7069632e64617461636f757273652e636e2f666f72756d.png


风险承担对企业资本配置效率的影响
35c6084ac668747470733a2f2f6262732d7069632e64617461636f757273652e636e2f666f72756d.png


风险承担对企业价值的影响
dca684dc6168747470733a2f2f6262732d7069632e64617461636f757273652e636e2f666f72756d.png


稳健性检验-内生性问题
* 利用工具变量法重新对模型(1)和模型(3)进行检验。
* OC的工具变量是同年度同行业其他企业具有过度自信特征的管理者的比例。
* RiskT的工具变量是同年度同行业其他企业风险承担水平的均值。

aeafc1ee6668747470733a2f2f6262732d7069632e64617461636f757273652e636e2f666f72756d.png


稳健性检验 - 使用制造行业的企业重新回归
53aede34ae68747470733a2f2f6262732d7069632e64617461636f757273652e636e2f666f72756d.png



稳健性检验 - 以5年为一个观测时段,考察管理者的在任情况并计算企业的风险承担水平。

89c6ea44e768747470733a2f2f6262732d7069632e64617461636f757273652e636e2f666f72756d.png



稳健性检验 - 替换变量 R&D支出占资产总额的比例衡量风险承担

3d6ab8d03d68747470733a2f2f6262732d7069632e64617461636f757273652e636e2f666f72756d.png



稳健性检验 - 用观测时段内企业最大的ROA与最小的ROA之间的差值衡量企业风险承担


7e210efc0d68747470733a2f2f6262732d7069632e64617461636f757273652e636e2f666f72756d.png


稳健性检验 - 替换变量 采用息税前利润(EBIT)计算ROA,然年后重新计算企业风险承担

cb12eb6f8968747470733a2f2f6262732d7069632e64617461636f757273652e636e2f666f72756d.png



✔购买资料包


a058f3175f68747470733a2f2f6262732d7069632e64617461636f757273652e636e2f666f72756d.png

854547b14a68747470733a2f2f6262732d7069632e64617461636f757273652e636e2f666f72756d.png



af15d2923b68747470733a2f2f6262732d7069632e64617461636f757273652e636e2f666f72756d.png
1436236y0u2rlvll91e9vr.jpg



【论文复现】管理者过度自信与企业风险承担(附数据和Stata代码)2020版.zip
大小:(46.15 MB)

只需: RMB 258元  马上下载

本附件包括:

  • 管理者过度自信与企业风险承担_余明桂.pdf
  • 管理者过度自信与企业风险承担_余明桂.zip
  • 管理者过度自信与企业风险承担处理.do



单独购买管理者过度自信指标的数据和代码
管理者过度自信数据和代码2008-2020.zip
大小:(22.37 MB)

只需: RMB 38元  马上下载

本附件包括:

  • 治理综合信息.dta
  • 管理者过度自信.do
  • 管理者过度自信.dta
  • 管理者过度自信.xlsx
  • 董监高个人特征.dta
  • 高管个人资料文件.dta



质量保证,有问题可以咨询,楼主及时看到及时回复~

二维码

扫码加我 拉你入群

请注明:姓名-公司-职位

以便审核进群资格,未注明则拒绝

全部回复
2022-2-24 10:47:01
相关帖子推荐

管理者过度自信与企业风险承担(附数据和Stata代码)2020版
https://bbs.pinggu.org/thread-10906925-1-1.html


产业政策数据整理(可以直接使用)2020年 包含整理代码
https://bbs.pinggu.org/thread-9163031-1-1.html

琼斯模型、修正琼斯模型、陆剑桥模型、现金流量Jones模型、真实盈余管理Stata代码大全
https://bbs.pinggu.org/thread-9748692-1-1.html

【论文实证分析】上市公司随意停牌与投资者利益(附数据和Stata代码)包含文字分析
https://bbs.pinggu.org/thread-10907053-1-1.html

【论文实证】管理层过度自信、内部控制与股价崩盘风险(附数据和Stata代码)2020版
https://bbs.pinggu.org/thread-10906940-1-1.html

上市公司A股常用控制变量整理(2000-2020年)
https://bbs.pinggu.org/thread-10906908-1-1.html

【年度】上市公司股价波动率指标(1991-2021年)包含Stata计算代码
https://bbs.pinggu.org/thread-10878202-1-1.html

【月度】上市公司股价波动率指标(1991-2021年)包含Stata计算代码
https://bbs.pinggu.org/thread-10878241-1-1.html

【季度】上市公司股价波动率指标(1991-2021年)包含Stata计算代码
https://bbs.pinggu.org/thread-10878258-1-1.html

【年度】上市公司周收益率的均值和标准差Ret和Sigma(1990-2021年)包含Stata计算代码
https://bbs.pinggu.org/thread-10894689-1-1.html

A股和H股交叉上市数据整理(更新至2021年)
https://bbs.pinggu.org/thread-10894345-1-1.html

上市公司首发IPO指标数据大全(更新至2021年12月17日)
https://bbs.pinggu.org/thread-10855941-1-1.html

【常用】上市公司融资约束KZ指数2000-2020年
https://bbs.pinggu.org/thread-10829197-1-1.html

【论文复现】股价崩盘风险与资本结构动态调整(附数据和Stata代码)2020版  
https://bbs.pinggu.org/thread-10906928-1-1.html

跳跃风险/回报风险(基于回报激烈波动(跳跃)的指标是衡量市场稳定性)1990-2020年
https://bbs.pinggu.org/thread-10690857-1-1.html

【年度】上市公司管理层短视指标(2007-2020年)包含Stata计算代码
https://bbs.pinggu.org/thread-10690531-1-1.html

【论文实证】CEO特征、国际化速度与企业绩效(附数据和Stata代码)2020版  
https://bbs.pinggu.org/thread-10683526-1-1.html

【优质代码】多重中介Stata代码包含非参数Bootstrapping调整估计偏差(包含示例数据)
https://bbs.pinggu.org/thread-10674592-1-1.html

上市公司劳动密集型、技术密集型、资本密集型行业分组1990-2020年
https://bbs.pinggu.org/thread-10641535-1-1.html

【论文实证】银行信贷、非效率投资与僵尸企业实证分析Stata代码(2009-2020年数据)
https://bbs.pinggu.org/thread-10910456-1-1.html


【论文实证】企业脱实向虚与金融市场稳定——基于股价崩盘风险Stata代码(2007-2020年)
https://bbs.pinggu.org/thread-10906904-1-1.html


高管薪酬比例数据大全2005-2020年
https://bbs.pinggu.org/thread-10638643-1-1.html


机构投资者持股数据大全2001-2020年[Excel和dta格式]
https://bbs.pinggu.org/thread-10634002-1-1.html

【优惠】海外直接投资数据大全更新至2020年  
https://bbs.pinggu.org/thread-10633725-1-1.html


[实用]Fama-Macbeth两步回归Stata代码(附示例数据)
https://bbs.pinggu.org/thread-10600884-1-1.html

上市公司注册地所在省份和城市(更新至2022年1月)
https://bbs.pinggu.org/thread-10894348-1-1.html

【论文实证】交易所质询与审计费用实证分析代码(附2015-2019年数据)
https://bbs.pinggu.org/thread-10509885-1-1.html

(持续更新)特殊处理变动数据(ST、*ST、PT类型)更新至2021年3月28日
https://bbs.pinggu.org/thread-10518486-1-1.html


【金融错配】上市公司金融错配指标(2008-2020年)包含Stata计算代码
https://bbs.pinggu.org/thread-10774265-1-1.html


【常用】上市公司一致行动人数据大全(2008-2020年)
https://bbs.pinggu.org/thread-10801891-1-1.html













二维码

扫码加我 拉你入群

请注明:姓名-公司-职位

以便审核进群资格,未注明则拒绝

2022-4-25 21:27:59
【原创帖子索引】会计金融类数据指标、实证分析代码分享(干货满满) https://bbs.pinggu.org/thread-10992685-1-1.html
二维码

扫码加我 拉你入群

请注明:姓名-公司-职位

以便审核进群资格,未注明则拒绝

2022-5-16 20:28:11
老师您好,请问下面的数据和代码部分包括哪些内容,和第一个有哪些区别呀?

二维码

扫码加我 拉你入群

请注明:姓名-公司-职位

以便审核进群资格,未注明则拒绝

2022-5-19 22:21:54
qinss 发表于 2022-5-16 20:28
老师您好,请问下面的数据和代码部分包括哪些内容,和第一个有哪些区别呀?
您好, 下面那个就是
管理者过度自信指标
二维码

扫码加我 拉你入群

请注明:姓名-公司-职位

以便审核进群资格,未注明则拒绝

2022-7-6 09:03:36
   谢谢支持
二维码

扫码加我 拉你入群

请注明:姓名-公司-职位

以便审核进群资格,未注明则拒绝

点击查看更多内容…
相关推荐
栏目导航
热门文章
推荐文章

分享

扫码加好友,拉您进群