经管之家App
让优质教育人人可得
立即打开
全部版块
我的主页
›
论坛
›
计量经济学与统计论坛 五区
›
计量经济学与统计软件
›
Stata专版
u型关系怎么检验呀到底
楼主
www~.
952
2
收藏
2022-12-01
第一次接触实证,真的好难,一天天的emo求问各位大师,解答一下疑惑
1.画图前的reg要➕控制变量吗,我的加了才显著,不加就不行
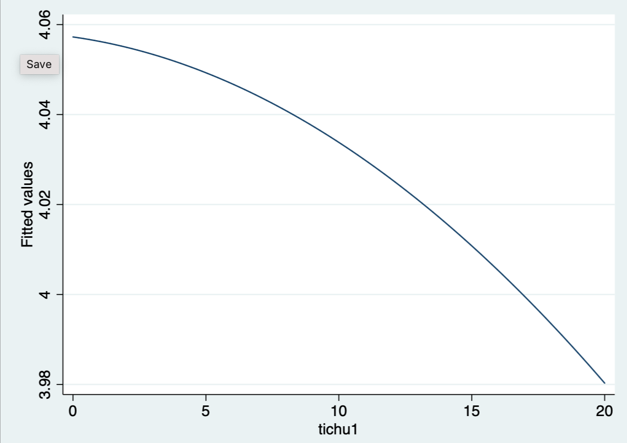
2。本来验证的是倒u型,高维固定效应回归是二星显著,utest检验极值(9.3左右)在区间内,但是p值是0.062, 这里画的图为什么是这样的
3。散点图没有一点逻辑,有个binscatter命令例子看不懂,不会用4.自变量的平方需要在vif检验时加入吗?我加入时自变量和它的平方都是7点多,去了平方,自变量vif值是2。4,这两个之间是否存在多重共线性,需要处理吗?
扫码加我 拉你入群
请注明:姓名-公司-职位
以便审核进群资格,未注明则拒绝
全部回复
沙发
www~.
2022-12-2 08:35:14
扫码加我 拉你入群
请注明:姓名-公司-职位
以便审核进群资格,未注明则拒绝
藤椅
黃河泉
2022-12-2 11:48:51
请 ssc install utest 并看看 help 档。
扫码加我 拉你入群
请注明:姓名-公司-职位
以便审核进群资格,未注明则拒绝
相关推荐
R中scatter plot matrix
没有一个高手能指点下作图命令????
固定效应回归
stata中psm2和pstest XXX,both scatter出的表格怎么解释,求助,感激不尽!表格如下
binscatter
多期DID控制了年份固定效应,企业年龄多重共线性,求解
关于Binscatter
【求助】含时间虚拟变量的双向固定效应估计 严格多重共线性
scatter 作图求助
为什么加入固定效应后,工具变量会由于多重共线性被省略?
栏目导航
Stata专版
行业分析报告
休闲灌水
经管高考
站务与外事
灌水吧
热门文章
图书:历史照进现实
上市公司透明度综合指标TRANS计算Stata代码 ...
奇瑞,打出新王牌!
告别熬夜头秃!3天论文特训,实现从“无从下 ...
一点写代码的心得:“你可别再重构了!”
助力高阶认证备考!CDA 三级新上线第一套官 ...
CDA数据分析脱产就业班于2025年12月08日开班 ...
《财经论丛》投稿与录用过程
如盈财女:1.15今日黄金、原油反弹拉高继续 ...
英伟达CES+2026PPT:计算的炼金术PART1:物 ...
推荐文章
【必看】【本版版规,欢迎发悬赏贴求助】
26年寒假天津站|Gemini论文写作&数据分析 ...
2026JG学术冬训营:从Stata初高到Python机器 ...
关于如何利用文献的若干建议
关于学术研究和论文发表的一些建议
关于科研中如何学习基础知识的一些建议 (一 ...
一个自编的经济学建模小案例 --写给授课本科 ...
AI智能体赋能教学改革: 全国AI教育教学应用 ...
2025中国AIoT产业全景图谱报告-406页
关于文献求助的一些建议
说点什么
分享
微信
QQ空间
QQ
微博
扫码加好友,拉您进群
各岗位、行业、专业交流群