全部版块 我的主页
论坛 提问 悬赏 求职 新闻 读书 功能一区 经管文库(原现金交易版)
344 0
2025-01-31
数据说明
      特地对原始的栅格数据进行了处理,将1901-2023年逐年平均气温栅格数据分别按照我国省级行政边界、地级市行政边界、区县级行政边界进行了求平均数处理得到了本次的数据——Shp和Excel格式的我国省市县三个等级的1901—2023年逐年平均气温数据

1901-2023年我国省市县三级逐年平均气温数据(Shp/Excel格式)利用栅格计算器处理
数据单位:摄氏度( ℃)
数据格式:Shp和Excel格式
时间范围:1901-2023年(逐年)
空间范围:省、市、县三个等级空间分辨率:0.0083333°(约1km)

数据来源
逐年平均气温数据是基于逐月平均气温数据计算得来的。逐月平均数据来源自彭守璋学者在国家青藏高原科学数据中心平台上分享的中国1km分辨率逐月平均气温数据集

数据处理说明:

基于逐月平均气温栅格数据,通过对当年12个月逐月平均气温栅格计算平均数得到逐年平均气温栅格,再采用国家地理信息公共服务平台(天地图)发布的审图号为GS(2024)2024年省市县三级行政区划Shp数据,对每个省\每个地级市\每个区县内的栅格值进行了求平均数处理,得到了省市县三级的逐年平均气温数据



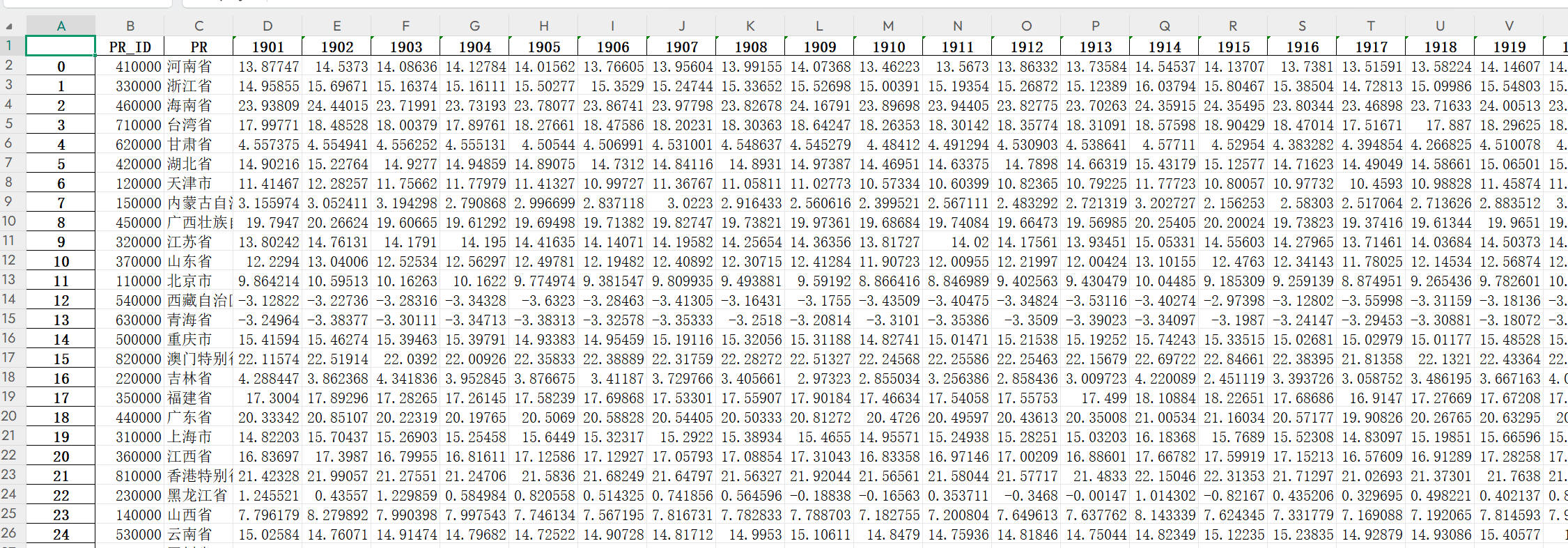
1.省级1901-2023年逐年平均气温数据

首先是Shp格式的数据,34个省级区划1901-2023年逐年的平均气温数据汇总在一个Shp文件中,下面我们以2023年为例来预览一下:


1.png


4.png


2.市级1901-2023年逐年平均气温数据

首先是Shp格式的数据,375个城市1901-2023年逐年的平均气温数据汇总在一个Shp文件中,下面我们以2023年为例来预览一下:


2.png


5.png


3.区县级1901-2023年逐年平均气温数据

首先是Shp格式的数据,2891个区县1901-2023年逐年的平均气温数据汇总在一个Shp文件中,下面我们以2023年为例来预览一下:


3.png


6.png



二维码

扫码加我 拉你入群

请注明:姓名-公司-职位

以便审核进群资格,未注明则拒绝

相关推荐
栏目导航
热门文章
推荐文章

说点什么

分享

扫码加好友,拉您进群
各岗位、行业、专业交流群