全部版块 我的主页
论坛 提问 悬赏 求职 新闻 读书 功能一区 悬赏大厅
2443 5
2013-12-26
悬赏 100 个论坛币 未解决
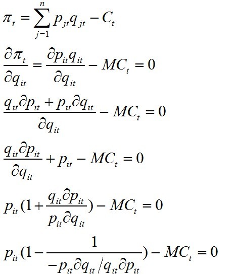
如图,是dynare手册第22页的一个公式,是中间品厂商的定价问题,文中称这是很常识性的结论,想请教这个公式的具体过程是怎么得到的。谢谢各位。
QQ截图20131226114633.png
二维码

扫码加我 拉你入群

请注明:姓名-公司-职位

以便审核进群资格,未注明则拒绝

全部回复
2013-12-26 15:26:50
看不懂
二维码

扫码加我 拉你入群

请注明:姓名-公司-职位

以便审核进群资格,未注明则拒绝

2013-12-26 23:24:36
不懂DSGE模型,但这个公式其实是DS模型中的一个简单结论的扩展,在基本的DS模型中加入了中间投入品,推导过程应该就是DS模型下利润函数的短期均衡,然后扩展到包含中间投入品的情况。推导过程如下(我猜的):
公式1
公式2
其中,实际边际成本应该等于名义边际成本除以价格指数。

二维码

扫码加我 拉你入群

请注明:姓名-公司-职位

以便审核进群资格,未注明则拒绝

2013-12-27 23:34:37
yangyuzhou 发表于 2013-12-26 23:24
不懂DSGE模型,但这个公式其实是DS模型中的一个简单结论的扩展,在基本的DS模型中加入了中间投入品,推导过 ...
酷~~
二维码

扫码加我 拉你入群

请注明:姓名-公司-职位

以便审核进群资格,未注明则拒绝

2013-12-28 21:36:15
yangyuzhou 发表于 2013-12-26 23:24
不懂DSGE模型,但这个公式其实是DS模型中的一个简单结论的扩展,在基本的DS模型中加入了中间投入品,推导过 ...
二维码

扫码加我 拉你入群

请注明:姓名-公司-职位

以便审核进群资格,未注明则拒绝

2013-12-30 15:01:20
yangyuzhou 发表于 2013-12-26 23:24
不懂DSGE模型,但这个公式其实是DS模型中的一个简单结论的扩展,在基本的DS模型中加入了中间投入品,推导过 ...
二维码

扫码加我 拉你入群

请注明:姓名-公司-职位

以便审核进群资格,未注明则拒绝

相关推荐
栏目导航
热门文章
推荐文章

说点什么

分享

扫码加好友,拉您进群
各岗位、行业、专业交流群