全部版块 我的主页
论坛 提问 悬赏 求职 新闻 读书 功能一区 经管百科 爱问频道
24305 177
2015-10-06


01.jpg

2015年9月,论坛邀请了长风神舞、accumulation、午夜的太阳、见路不走等四位专家,与广大坛友一起,共同开展精彩答疑活动。

详情请戳这里: 


活动预告一经发出,立刻吸引了大量的目光。无论是爱问频道还是经管爱问答疑系统,整个9月的提问量都有明显提高哦,同时被大量关注的还有我们经管爱问的微信和微博!在大家的热情关注下,不仅是我们的专家,就连各位版主和客服都忙碌了起来,通过各种渠道不断的和广大坛友互动与交流。

在9月精彩答疑活动中,我们专家组收到了很多高质量的问题,也有针对性的进行了解答。此外我们还对优秀的问题进行了评选和奖励,相信不少的坛友已经收到了我们的论坛币了吧,你是其中的一位么?

论坛的老大说了,好东西必须要拿出来分享。这不,在活动结束后,各位专家和版主立刻对各类问题进行了梳理,精选出40篇精彩问答,汇总于此,以飨坛友。 

为了更好的给各位坛友献上这份知识的大礼,我Rolly还真没少花功夫一篇一篇文章的编辑哈,不过只要你们喜欢,这一切都很值得!

下面这40篇问答,是四位专家从海量的答疑中精选的一部分。为方便各位的查阅,我根据不同专家的回答进行了归类,对四位专家的回答分别以橙色、绿色、蓝色紫色进行了区分。并且,每篇问答的标题都是可以点击进入原帖的。

内容较多,帖子较长,请各位坛友慢慢学习!如需查找关键词,请按CTRL+F进行搜索!


02.jpg


出场嘉宾一:长风神舞

03.jpg


 
提问者:chance1007
问题描述:
  定增项目研究主要从哪些方面入手,有什么特别需要研究的地方?
精彩回答:
  定向增发有一年期定增和三年期定增,一年定增比较透明,限10个发行对象,需要三级报价单,价高者得,至于定增最终价格是从高到低以至于发完所有量的成交价。根据股东持股份额一般有锁定期的时间长短规定。一般常识性的问题想必你也知道。下面回答定增项目的研究问题:
  1.价格。发行定向增发的应当经过证监会审批核准,6个月内发行有效。价格一般会形成核心问题。定增的本质就是以非公开的折扣价进入,在二级市场等退出,形成一个差价,这便是利益的驱动所在。如何评判价格,那需要进行估值和对市场的预期判断,并且在信息相对不对称的条件下,尽量以最低的价格获得更大的份额。一般估值都会有测算,相对测算中PE运用比较广泛,以市值除以利润,看看市盈率如何,与发行公司所在市场的平均市盈率相比较,形成一个相对标准。另外,对于投资者而言,都希望定增在二级市场处在一个相对低位的时间进行,这样能以一个相对更低的价格进入,市场的波动与周期性,对未来的预期是走高的,那么更有利于你对此次定增的实施。
  2.项目本身。回到项目本身的情况,如果遇到定向增发购买资产的话,那么这种项目会比较性感,为什么?因为他会有提升和炒作的空间,购买资产一方面可以将体量做大,另一方面能形成直观的利润以及经营系列产品的优势地位,这样很容易炒作股价的,对投资者的限售期后的退出很有利。另外,还需要关注项目本身的经营问题,市场的容量和趋势如何?有没有新的增长点?产品对手是市场化的还是ZF类型的?风险差异很大。
  3.研究程序:宏观研究到中观研究到微观研究的思路。宏观上,看整个市场的经济走势和国家的宏观政策方向,是紧缩的还是宽松的?资本市场处在一个什么位置?对投资者是否有利进入?中观上,看看发行人所在行业的发展现状和趋势,有没有很好的政策走向,行业的市场现状和扩容机率,是否有前景?微观上,重点关注发行企业的自身公司治理、内控制度、财务状况等问题,这些都有信息披露的,可以多方面了解到,譬如证监会网站、巨潮网等。
  最后,希望能帮到你,有什么问题还可以继续探讨!




 
提问者:laoziwuyou10
问题描述:
  公司的市值小于其净流动资产和每股对应的流动资产高于股票价格是一个概念吗?
精彩回答:
  必须确定该净流动资产所对应的流通股数和市场交易流通股数相同,因为还有优先股之类的,所以这个确定好了,那么每股净流动资产和股票价格都是分子的事情,是否相等应该显而易见!希望能帮助到你,望采纳!




 
提问者:claire_zyl
问题描述:
  求教大神们,为什么商业银行贷款不足存款充足时,增资要选择附属资本;反之,选择核心资本?
  这句话是戴国强教授的《商业银行经营学》里的~
精彩回答:
  这个问题,首先要弄清楚什么是核心资本,什么是附属资本?巴塞尔协议有其规定,但是按照我国《商业银行资本充足率管理办法》规定,商业银行的核心资本包括实收资本或普通股、资本公积、盈余公积、未分配利润和少数股权的;而附属资本包括重估储备、一般准备、优先股、可转换债券和长期次级债券等。其中很重要的一点是:贷款准备金是属于附属资本的,所以商业银行贷款不足时,增资按规定要选择附属资本。望采纳!




 
提问者:licroa
问题描述:
  在金融行业,不用开发客户,但属于核心盈利的部门有哪些?
精彩回答:
  因为我是在一家央企的直投部门,虽然不同的金融公司,譬如银行、券商、基金、信托、租赁、担保、私募、基金子公司等等都有不同的部门设置安排,有的是投资部设置,有的是事业部设置,比如民生银行。但是你问到的是核心盈利部门,什么叫盈利部门?给公司带来利润的部门,忙碌并且地位核心。
  其实,你也是知道的核心盈利部门肯定是开发市场的,但你说不用开发客户,那我只能说,做行业研究或者风控部门相对来说比较核心,因为行业研究对于市场的开拓提供直接的成果展示,能有效的分析市场前景、风险因素以及业务开拓定位;风险控制部门对于项目的审批、尽调以及上会非常重要,话语权很大,因为它相当于给决策委员会打底稿。但是这两个部门不是直接盈利的,直接盈利的还是投资部或者投行部或者什么什么事业部等的业务部门,至于风控部门和行业研究部门是做研究和文案工作的,以专业性见长,不需要开拓市场,但是收入也相当可观!
  最后,希望能帮助到你,如果有什么问题可以继续探讨!




 
提问者:葳蕤草莫
问题描述:
  企业融资能力不同影响企业海外投资的作用机制是什么?
精彩回答:
  首先,假设企业的融资能力很强,包括国内融资和国外融资两方面,并且不管其融资方式,只要是合法合规就行。那么企业融资的目的要么扩大再生产,要么优化升级,要么溢价收益。而企业的海外投资属于溢价收益方面,企业融资能力强劲有利于企业的海外投资与并购,但是会限制企业的投资并购模式的创新,因为融资能力强导致资金实力强,进而创新海外投资模式动力会下降。但是另一方面创新模式带来的风险也会降低,比如杠杆收购的偿债风险加大等。企业的海外投资还有很重要一点是符合企业的发展战略,这一点要求其投资的方向和领域,以及风险的控制与投资模式,大多数会形成资源整合之势,这一点反过来也会影响企业的融资能力和再融资能力。望采纳!




 
提问者:lrzg001
问题描述:
  各位路过高人,本人请教与股票分析相关的东东,书,一句话,网址均可有奖励.奖励起点5币,上不封顶.
  最好是有经验朋友指点.很想学习却找不到头绪.
  谢谢告位.
  : )
精彩回答:
  我本身是做一级市场的PE投资的,但是自己也会炒炒股票,因为这对我的行业判断会很有帮助的。我把我看过的一些觉得比较好的股票分析的书籍推荐给你:
  1.《股市趋势技术分析》-爱德华兹-机械工程出版社
  2.《股票大作手操盘术:融合时间和价格的利弗莫尔准则》-杰西·利弗莫尔-人民邮电出版社
  3.《日本蜡烛图技术》-史蒂夫·尼森-地震出版社
  4.《期货市场技术分析》-墨菲-地震出版社
  5.《证券分析》-本杰明·格雷厄姆-中国人民大学出版社
  6.《手把手教你读财报:财报是用来排除企业的》-唐朝-中国经济出版社
  我觉得暂时推荐这几本吧,不要太多,要精,这些能够帮你形成自己的投资交易系统和分析系统,其中建议你多思考和体会,相信你会做的很出色!




 
提问者:amilaote
问题描述:
  请问工科博士可否找金融工作,如投行、PE、VC等
精彩回答:
  首先,我要告诉你,答案是肯定的。为什么?我本身在一家央企直投部,我有同事就是北京理工大学通讯方面的博士毕业的。首先你要明确一个问题,做直投无论是天使、VC、PE,还是提供专业性服务的投行,都需要专业的研究,如果你将一两个行业研究透了或者非常熟悉,那么你会很专业,这样的行业研究对直投非常有帮助,对风险的评判非常有利。不知道你学的什么专业,但工科中的计算机、通讯、电子,在现实中的投资相对比较热点,这样相应的金融机构,无论是券商、基金、还是私募,都愿意向这些有专业知识背景的人伸出橄榄枝。所以,无论是现实的例子,还是前景的分析,亦或需求的考量,工科博士完全可以找金融工作。
  最后,希望帮助到你,有问题可以继续探讨。当然,希望你能找到满意的金融工作,到时候同行间可以交流交流!




 
提问者:凹凸曼。
问题描述:
  请问用留存收益进行投资的时候,留存收益是转化为公司的普通股吗?假设现在公司负债1元,优先股2元,普通股3元,保持资本结构不变,用10块钱留存收益进行投资,那么总投资额可以达到多少?
精彩回答:
  首先要知道留存收益是来源于企业的生产经营活动所实现的净利润,包括企业的盈余公积金和未分配利润两个部分,其中盈余公积金是有特定用途的累积盈余,未分配利润是没有指定用途的累积盈余。留存收益可以用来增资扩股,但有具体的操作规定和会计处理。另外,留存收益如果用来投资的话,公司法规定会有50%的投资上限,所以总的投资额为10元。望采纳!




 
提问者:游牧的
问题描述:
  请问羊群效应和高频交易有没有关系呢,有请详述,万分感谢
精彩回答:
  首先要明白这两个概念,羊群效应说白了就是一种从众心理,群体的力量使其丧失了理性和判断;而高频交易是那种计算机式的交易,但是这种交易方式的获利来源的价差变化是非常细微的,人们是很难做到的。所以明白了概念之后也大概就清楚了二者之间的关系,从操作主体来讲一个是人为操作盲目跟从,一个是计算机代替高频率操作,关系甚微。从结果来说,盲目跟从大多数是被套,计算机高平交易能抓住微利机遇,成功率相对较高;从风险角度,二者都很大,计算机高频交易也不能保证百分之百能有好的收益,历史会重演的三大假设之一也会出现异常情况。望采纳!




 
提问者:ycs-
问题描述:
  想学点经济学投资的,不知看什么书好?
精彩回答:
  针对你想学点投资,其实有几种思路:一是从实战中摸索,这种需要面对真金白银的磨练、自己的反思与领悟,形成自己的投资风格;一种是先形成理论基础,看一些相关投资方面的书籍,然后在实战中验证;另外一种是,一边实战,一边理论研究,相辅相成。其实,不能明确划分,几者都会相互涉及和涵盖。
  我个人的做法是,一边理论研究,一边实战操作,两不误。理论研究方面,首先要明白什么是投资?投资哪方面?一级市场项目投资还是二级市场股票、债券等投资?然后买对应的书籍,毕竟人的精力有限,专注一块然后做到极致,那么你就成功了。如果你做一级市场投资,很多方面,债权还是股权方面?然后再购买相应主题的书籍。如果你做二级市场投资,股票、债券、期货、量化对冲、基金、外汇,相对的书非常之多。
  谈及我个人,首先我本科金融、硕士金融、博士货币金融,所以相应的西方经济学初级到高级都系统学过,中央银行学、计量经济学、财务管理、审计、会计、投资银行学、国际经济学等都对投资起到基础性作用,不知道你的基础如何?这个我并不知道,其实说回来也不必样样精通,那完全没有必要。比如我做股权投资,从天使、VC、PE、pre-IPO都会涉及,如果你想做这方面的投资,那么我向你推荐个人觉得比较好的几本书:1.《私募股权投资基金:操作细节和核心范本》隋平-中国经济出版社;2.《财务模型与估值:投资银行和私募股权实践指南》保罗·皮格納塔罗-机械工程出版社;3.《投资银行、对冲基金和私募股权投资》戴维·斯托厄尔-机械工程出版社。你先看看这三本吧,形成一定的基础后,再做选择,不要贪多,这样也许对你很有帮助。
  最后,希望能帮到你,有什么问题可以继续探讨!




出场嘉宾二:accumulation

04.jpg


 
提问者:胃与心心
问题描述:
  公司金融里的,如图 贝塔的确定第一条“收入的周期性”划红线的部分。
  不理解的点有2:
  第一:“周期性强的股票有较高的贝塔值”。我理解的是既然股票与市场同趋势波动—股票收益率与市场收益率应该同趋势增减—贝塔小。
  第二:“周期性不等于变动性”
  请各位帮帮忙啦~多谢哦
   2.1.jpg
精彩回答:
  这本书是Ross所著Corporate Finance(公司理财)的笔记与课后习题详解吧。
  第一个问题:
  “周期性强的股票具有较高的贝塔值”,这需要从资本资产定价模型CAPM与β系数的含义上理解。CAPM模型的含义有三点:高收益对应着高风险、分散投资能降低风险、决定资产价格的不是绝对风险,而是边际风险;CAPM中的β系数表征的就是边际风险,而不是绝对风险,而所谓边际风险,即是资产回报率与市场组合波动的相关性—即金融经济学中的系统风险、不可分散的风险;周期性越强的股票,其与宏观经济的相关性就越强,其β值就越高;
  这里需要注意的一点是:并非是波动率(波动方差)越高的资产,其期望回报率就越高(即当前价格越低),这是理解CAPM模型的关键;而是β系数越大—边际风险越高的资产,其期望回报率就越高;
  比如,以新药开发和汽车制造两个企业的股票为例,新药开发的风险非常地高,即其波动率(波动方差)相当地高,相比之下,汽车制造的波动率(波动方差)就相对很低,因此,如果不能正确地理解CAPM与β系数的含义,很容易得出“新药开发的波动方差比汽车制造高,因此其股票的期望收益率高于汽车制造的收益率,即当前新药开发的股票价格低于汽车制造的股票价格”;在正确地理解了CAPM与β系数的含义后,才能得出“新药开发的股价高于汽车制造的股价”的正确结论:因为新药开发的利润波动率与整个宏观经济,也就是市场组合的相关性不大,会远远小于汽车制造利润波动性与整个宏观经济的相关性,即新药开发的β值远远低于汽车制造的β值,新药开发的高波动率(高方差)可以通过市场组合而有效地分散掉,大部分是可分散风险(非系统性风险);因此,由CAPM模型,新药开发会具有更低的期望回报,相应地,它当前的股价估值就应该高于汽车制造的股价估值。
  综上,周期性强的股票具有较高的贝塔值,即与宏观经济相关性程度高的股票具有较高的贝塔值,系统性风险高的股票具有较高的贝塔值。
  第二个问题:
  “周期性不等于变动性”,这个问题与第一个问题相似。所谓周期性,即系统风险,是用β系数刻画的;所谓变动性,即波动率,是用波动方差刻画的;在第一问中的例子中,汽车制造的周期性高于新药开发的周期性,而新药开发的波动性高于汽车制造的波动性;在Ross的公司理财中国还有一个例子:一个电影制片厂,因为其未来成功还是失败难以预测,所以收入的变动性大(波动率大),但是,制片厂的收入更多取决于影片发行质量,而非商业周期,所以,电影公司的周期性并不强,即其股票的标准差大(变动性大)而贝塔并不一定高(周期性并不强)。




 
提问者:hanjiashi
问题描述:
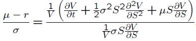
  有一个思考题,要求用put call parity, CCAPM推导连续时间下针对put option的Black Scholes(with dividend),本科水平,请大神指点!
   2.2.png
精彩回答:
  1985年Cox与Rubinstein从连续时间下的CAPM模型出发,推导出了Black-Scholes模型;此种推导方法的关键是利用金融资产预期回报率、资产与市场组合的协方差之间存在线性关系的结论,其中资产与市场组合的协方差可以理解为承担风险的补偿;
  假设股票的预期回报率为μ,风险为σ,由Ito过程:
   2.21.jpg
  根据股票价格的运动规律:
   2.22.jpg
  因此,期权的预期回报率:
   2.23.jpg
  而股票的风险:
   2.24.jpg
  因此,代入CAPM模型,得:
   2.25.jpg  
  由此整理即可得到BMS期权定价模型:
   2.26.jpg
  根据期权定价的边界条件,解BMS期权定价模型,即可得到BMS期权定价公式:
   2.27.jpg
  对于支付连续股息q的股票,需要对BMS期权定价模型进行修正;一般而言,修正的方法包括对冲方法、风险中性方法与用S0*exp(-qT)代替原BMS公式中的S0,其中最简单的方法是用S0*exp(-qT)代替原BMS公式中的S0,因此可以得到支付连续股息下的修正BMS期权定价模型:
   2.28.jpg  
  由Put Call Parity,对于一般股票期权,其平价关系:
   2.29.jpg
  对于支付连续股息股票期权,其平价关系:
   2.210.jpg
  因此,所谓由平价关系推得期权定价公式,是指已知看涨期权价格c或看跌期权价格p,求得与之对应的看跌期权价格p或看涨期权价格c的问题。




 
提问者:tsml
问题描述:
  请问在下式CAPM资本资产定价模型中,利率每增加一个百分点,无风险利率rf、预期市场回报率rm应该增加多少?
  yi=rf+βi(rm-rf)
  yi:资产i 的预期回报率
  rf :无风险利率
  βi:Beta系数
  rm:市场m的预期市场回报率
精彩回答:
  这个问题不太明确:利率是对机会成本与风险的补偿,其中对机会成本的补偿部分称为无风险利率rf;利率每增加一个百分点,因为无法确定利率增加的根源,即无法确定增加的一个百分点利率中有多少是对风险进行补偿的,有多少是对机会成本进行补偿的,因此也就无法确定无风险利率rf增加的百分点;
  关于预期市场回报率rm,在CAPM模型中,市场组合是资本市场线与多种风险资产所构成的有效前沿的切点。如果利率增加一个百分点,则风险资产的预期回报率也会发生变化,多种风险资产所构成的有效前沿将会发生变动,同时,资本市场线CML的纵轴截距与其斜率也会发生变化,这样,市场组合的变动—即资本市场线与多种风险资产所构成的有效前沿的切点的变动将会变得无法确定。




 
提问者:Yurist
问题描述:
  我正在学习金融计量学,好奇GARCH模型既然是研究股票市场波动率的,那么应用GARCH模型对金融市场做的实证分析在实证和应用上有什么用途?GARCH模型对金融市场的实证分析能指导量化投资吗?
  对金融计量学与量化投资模型的关系尚不太清楚,请大神指教!
精彩回答:
  GARCH模型是实证上用于研究金融市场波动率的模型,目前主要用于金融市场上的学术研究,发现并挖掘金融市场的实证规律,客观上可以指导金融市场上的投资,但是学术上发现的金融市场规律与技巧一般在相关的金融学论文发表、规律与技巧被投资者应用后将会逐渐变弱并最终消失。
  理论上讲,GARCH模型对于投资的指导属于主动积极的投资类型。微观金融数据的波动性特征在实证上被金融学者挖掘,特别是在股票市场,股票价格可能会发生突然性的波动,并且在一个大的波动后面常跟着另一个大的波动,而在一个小的波动后面又常跟着一个小的波动;这就是金融时间序列经常表现出的波动性集群现象。这种现象经常会导致股票收益率的分布出现尖峰、厚尾的现象,而不是有效市场假说所形容的对数正态分布。起初,GARCH模型就是用来分析这种波动性集群现象。
  在应用上,高频金融数据相关模型的残差,即GARCH模型所经常研究的数据,是金融学家和金融做市商们极为关注的焦点。高频数据与低频数据相比表现出极为不同的特征,这是金融计量学的一个重点研究方向,对高频数据波动性的研究与建模,可能有助于指导高频量化投资,然而,随着金融市场有效性程度的提高,金融计量学所发现的规律最终将消失。
  在量化投资的实际应用上,一般都是GARCH模型的扩展模型发挥作用,以进一步增强模型分析宏观经济基本面的能力。宏观经济与证券市场存在关联性,国外关于经济周期与证券市场收益率波动关系的研究主要有两个方面:一个是从整体上分析二者之间的长期关联性;二是从每个经济周期内部分析两者的阶段关联性;而对于中国金融市场,国内学者在金融计量模型构建与实证分析上存在较大的分歧,大致观点为:一是认为股票指数与宏观经济发展之间的短期波动模式上具有相关性,同长期水平值之间具有均衡关系;二是认为中国股市波动与经济运行相关性微弱,甚至呈现背离态势;2015年中国股票市场的大牛市与当时中国宏观经济的不景气—“牛市不止,经济不起”似乎就印证了这个观点。
  中国已有的实证检验方法除了GARCH模型,还有简单OLS线性回归、Granger因果检验、协整检验及VAR模型法等;这些模型与方法在量化投资上仅注重对样本区间内整体关联性的检验,而忽视了分析经济增长的不同阶段与证券市场波动的特定关联,这是上述量化投资方法的一个缺陷。
  例如,为了改变单纯依靠具体数据来分析宏观经济与证券市场相关性不足的现象,依据对经济状态和市场状态的划分,分析状态之间的相互影响。如海通证券研究员建立了动态的ARCH模型(向量SWARCH模型),重点衡量经济周期转换与证券市场趋势变迁之间的相关性。SWARCH模型能够比较有效地揭示中国证券市场指数变化与货币供应量之间的相关关系,对指数周涨跌趋势具有较好的预测效果,而且基于该预测模型构建的量化择时交易策略也具有明显的超额收益。
  综上,一般的GARCH模型及其变种(EGARCH、TGARCH等)在学术实证方面的应用较多,而业界中应用的金融计量学模型均是动态而且不断调整的。




 
提问者:Yurist
问题描述:
  请问金融计量学中的ARMA模型具体有哪些应用?能对哪些经济金融指数进行建模?如:ARMA模型能够对上证综合指数、上证综合指数收益率、CPI等数据进行ARMA建模吗?其预测性又如何?
  比如,应用ARMA模型对股票指数进行建模,是对有效性强的金融市场进行股票指数ARMA建模的预测性好,还是对有效性弱的金融市场进行股票指数ARMA建模的预测性好?
精彩回答:
  金融计量学中的ARMA模型可以对上证综合指数收益率、CPI等经济金融指数与数据进行建模;即ARMA模型主要用于分析实际金融时间序列变量动态变化的过程;ARMA模型的预测性建立在时间序列数据的自相关性与序列相关性上。
  例如,运用ARMA模型分析中国CPI通货膨胀率的动态路径,分析其ARMA(p,q)的动态特征,得出其自相关函数的形态与模式,在经济学实证上更具有意义;其基础是建立在经济学、金融学数据的历史数据与记忆性上的。
  应用ARMA模型对股票指数收益率进行建模,对于有效性弱的金融市场进行股票指数收益率ARMA建模的预测性更好;根据Fama的有效市场假说,弱势有效市场无法根据历史信息实现超额利润,而对于连弱势有效都没有达到的金融市场,历史数据就会具有较强的预测能力,有助于投资者在主动投资中获取超额收益Alpha,因此,应用金融计量学等手段的量化投资在有效性程度低的金融市场中更具有应用价值。




 
提问者:pkuwgq
问题描述:
  是大周期决定方向,小周期运转在大周期中,可小周期又影响大周期,如何系统理解不同周期的互相作用?
精彩回答:
  这是一个很难的问题—在学界与业界中都值得讨论,现在有数不清的与投资周期、经济周期相关的论文,这里我只能给你作一下简单的介绍。
  大周期与方向、小周期运转在大周期中,同时小周期又影响着大周期;正是小周期与大周期之间的交互作用,导致经济周期是一个复杂难以预测的现象。
  在学界中,经济周期一般用繁荣、衰退、萧条、复苏四个阶段描述;第二次世界大战前,关于经济周期的理论有太阳黑子理论、心理周期理论、凯恩斯的消费不足理论、熊彼特的创新理论、投资过度理论与纯货币理论;一般地,经济周期的分类表述为基钦周期—以库存变动表征的5年左右的周期、朱格拉周期—以设备投资变动表征的10年左右的周期、库兹涅茨周期—以建筑业变动表征的20年左右的周期、康德拉耶夫周期—以技术创新表征的50年左右周期;这些周期构成了所谓的短波、中长波、长波、超长波的经济周期;这些周期的频谱交互作用,导致经济周期的研究与预测异常困难。
  第二次世界大战后,经济周期理论有了巨大的发展,如以弗里德曼为代表的货币学派提出的货币主义经济周期理论、以诺德豪斯为代表提出的政治周期理论、以卢卡斯为代表,建立在信息障碍条件下的货币周期理论、以普雷斯科特为代表,建立在总供给的随机冲击下的实际经济周期理论、以萨缪尔森为代表,以乘数和加速数的相互作用阐释总需求发生有规律周期波动的乘数—加速数经济周期模型等;其中,萨缪尔森的乘数—加速数模型,通过整合与收入和投资相关的乘数、加速数,描述乘数和加速数的交互作用,耦合出不同形态的经济周期。
  综上,学界中关于经济周期的理论可以分为外因论与内因论:外因论强调经济体系之外的冲击与波动是寻找经济周期的根源,而内因论则强调在经济体系内部寻找经济周期的机制和原因—任何一次扩张都孕育着新的衰退和收缩,任何一次收缩也都包含着可能的复苏和扩张。更加细致的讨论,建议参考拉斯特维德的《逃不开的经济周期》一书。
  在业界中,有关经济周期的讨论是量化投资的重要研究方向之一。自上而下的投资分析方法认为,宏观经济决定了资产的收益率,因此对于一个坚持自上而下分析的投资者来说,一般先关注宏观经济运行指标的变动,然后进行资产配配置,或者调整投资组合的风格,并且指导股票资产中的行业组合进行积极投资。
  在量化投资中,可以通过关注市场的风格轮动与行业轮动进行资产配置,即观察研究经济周期中的长周期、中周期与短周期,制定合理的量化投资策略;风格轮动即观察市场中不同风格在经济周期不同时期内的转变,制定投资策略;行业轮动即在一个完整经济周期中,确定先导行业与跟随行业,确定投资策略;宏观经济周期对投资具有指导性意义的模型如美林时钟及其升级版本—量化版美林时钟等,对于资产配置具有理论指导意义,当然业界投资中会考虑各种因子修正;此外,投资中的趋势周期判断,亦即基本面分析的一种常用方法—判断趋势型:这是一种对大盘或个股的趋势判断,进行相应投资操作的高风险投资方式;具有收益率高与风险性大的特点;构造量化因子模型,在量化投资模型中设置可以表征经济周期的经济因子, 在投资周期中量化选股与量化择时,亦是当前业界中具有广阔发展潜力的投资方式。有关量化投资、投资周期更加宏观而细致的阐述,请参考丁鹏的著作《量化投资—策略与技术》。




 
提问者:huangw_2010
问题描述:
  最近想研究用50ETF期权对冲现货风险,一种方案是想通过期权合成现货空头对冲,另一种方案是保留部分现货收益,即使用put options。不知道各位有啥相关文献参考一下。
精彩回答:
  使用期权对冲股票风险的一些文献:
  1.最基础的教程:John Hull的《期权、期货及其它衍生产品》:https://bbs.pinggu.org/thread-3690738-1-1.html;
  2.《期权定价与高级策略》:https://bbs.pinggu.org/thread-3767275-1-1.html;
  3.《期权:衍生品与对冲》:https://bbs.pinggu.org/thread-3540845-1-1.html;
  4.《金融期权》—中国期货业协会编:https://bbs.pinggu.org/thread-3767218-1-1.html;
  5.《期权操作》:https://bbs.pinggu.org/thread-3767270-1-1.html;
  此外,使用期权构造策略的相关文献还有:
  1.《期权波动率与定价高级交易策略与技巧》:https://bbs.pinggu.org/thread-3828149-1-1.html;
  2.《金融工程—期权低风险套利及套利系统建立》:https://bbs.pinggu.org/thread-3885348-1-1.html;




 
提问者:chen_nezo
问题描述:
  突然想起一个问题,
  期权价格 < 内含价值时,此时如果计算隐含波动率是得不到答案的,这种情况一般怎么解释?
  应该是因为这种是属于理论上可套利的情形,而BS模型适用于无套利情形,因此不适用于来计算隐含波动率。
  那是否可以认为此时没有隐含波动率这个东西?
  感觉挺别扭。有哪位大神可以解释一下?多谢。
精彩回答:
  隐含波动率是指在市场中观察的期权价格所蕴含的波动率,计算方法是将给定的期权市场价格代入BSM期权定价公式得到该波动率。隐含波动率可以用来监视市场对于某一特定股票波动率的态度,也可以用来根据某一期权的价格估计另一个期权的价格,一般由迭代法计算获得。
  当期权市场价格 < 内含价值时,计算隐含波动率可能得不到答案;从理论上看,BSM期权定价公式是一个建立在严格假设下的理论模型,Merton即用无套利方法推导出了BSM期权定价公式;而对于期权的实际市场价格,一方面可能是现实中的复杂因素修正了BSM期权定价公式所给出的期权价格,另一方面可能真是源于市场的错误,使得套利机会存在。
  即使BSM期权定价公式的理论模型与现实假设条件存在巨大差异,计算隐含波动率仍然具有一定的意义。计算隐含波动率得不到答案的情况存在,然而很多情况下是可以计算期权的隐含波动率的,根据期权市场价格计算隐含波动率,可以进一步进行相关的金融实证研究,最典型的例子就是股票期权的隐含波动率:股票期权的隐含波动率是执行价格的递减函数,而BSM期权定价模型的前提假设是波动率为常数;针对股票期权的隐含波动率是执行价格的递减函数这一“波动率微笑”现象,可以进一步探究股票期权波动率微笑存在的主要原因:
  1-杠杆效应:当公司股票价格下跌时,公司杠杆效应增加,股票风险性增大,因此波动率增加;而当公司股票价格上涨时,公司杠杆效应降低,股票风险性减小,因此波动率减小;
  2-交易员对股票市场暴跌的恐惧:交易员恐惧市场上会出现类似于1987年10月股票暴跌的问题,因此对于深度虚值看跌期权赋予较大价值,进而造成了较高的波动率;
  综上,隐含波动率的研究是具有一定的实证意义与股票投资的现实意义的。




 
提问者:fantansyuibe
问题描述:
  我想用garch做一个波动性分析
  最后得到一个garch方程,怎么通过这个方程分析波动率,或者还有一部没做完吗?
精彩回答:
  通过构造GARCH(1,1)模型进行波动性分析是金融计量学中常用的方法。
  GARCH模型在金融时间序列分析领域具有广阔的应用价值。例如,投资者可以通过形成长线投资收益均值的加权平均、上期的预期方程(GARCH项)和在以前各期中观测到的关于波动性的信息(ARCH项)来预测本期的方差;如果资产收益的变化非常大,对下期方差的预期将会增加;GARCH模型也与股票收益率等数据中观测到的波动聚集性现象一致,即收益的巨大变化经常伴随着更进一步的巨大变化。
  构造GARCH模型进行波动率分析的软件有很多,以Eviews软件为例,对S&P500股票收益率数据的波动性进行分析:
  对S&P500股票收益率数据SP500RETURN进行建模,构造均值模型—AR(1)模型与方差模型—GARCH(1,1)模型:在Eviews中打开S&P500股票收益率数据,再单击Quick—Estimate Equation,在Method选项中选择ARCH—(Autoregressive Conditional Heteroskedasticity),之后在弹出的对话框中的Mean Equation中输入”SP500RETURN SP500RETURN(-1) C”,其中C为常数项,即构造了S&P500股票收益率数据SP500RETURN的均值AR(1)模型与方差GARCH(1,1)模型,其估计结果如下:
   2.91.jpg
  从此表可以得出估计的均值AR(1)方程与方差GARCH(1,1)方程:
   2.92.jpg
  估计方法为估计GARCH模型过程中经常使用的Marquardt算法,此案例来源于张成思老师的《金融计量学—时间序列分析视角》。
  对波动率进行估计并建模后,就可以进一步利用GARCH模型进行波动率的分析与预测了。
  以S&P500股票收益率数据为例,其AR(1)模型残差平方序列的图像:
   2.93.jpg
  S&P500股票收益率数据GARCH(1,1)模型的条件波动性序列σ-squared序列的图像:
   2.94.jpg
  对于波动性分析,除了GARCH模型外,还有PGARCH、EGARCH、TGARCH等扩展模型,可以适用于不同情形下的时间序列波动性分析。




 
提问者:金融学爱好者
问题描述:
  当一个定价模型使用平价期权的隐含波动率给所有的汇率期权计算理论价格时,在通常的“波动率微笑”的影响下,将出现如下的偏差(AD )。
  A. 深度虚值期权理论价格被低估 B. 深度实值期权价理论格被低估
  C. 深度虚值期权价理论格被高估 D. 深度实值期权价理论格被高估
  小弟在此跪谢了!
精彩回答:
  当一个定价模型使用平价期权的隐含波动率给所有的汇率期权计算理论价格时,在通常的“波动率微笑”影响下,将会出现的偏差是:深度虚值期权理论价格被低估、深度实值期权理论价格被低估,应该选择AB。
  波动率微笑的图像如下:
   2.101.jpg
  通过10年中12种不同汇率的日收益率来进行实证检验,计算每一个汇率价格百分比变化的标准差与正态分布比较,实证结果提供了汇率收益厚尾性态的存在,以及交易员确实采用波动率微笑的证据,如图:
   2.102.jpg
  探究汇率期权波动率微笑存在的原因,需要从BMS期权定价模型的前提假设—资产价格服从对数正态分布入手;资产价格服从对数正态分布有两个条件:(1)标的资产的波动率为常数;(2)标的资产价格变化平稳而且没有跳跃;而实际上,以上假设对于汇率均不成立。汇率的波动率与常数相差甚远,并且波动率变化常常具有跳跃性,跳跃与非常数波动率对期权价格的影响与期权的期限有关。当期权期限增大时,非常数波动率对期权价格变化影响的程度变得越来越大,但同时对隐含波动率变化影响的程度却越来越小。当期权期限增大时,跳跃性对期权价格变化以及隐含波动率变化的影响越来越小;因此,当期权期限增大时,波动率微笑变得越来越弱。
  综上,汇率期权的波动率微笑为先递减后递增的形态。
追问:
  在请问下:意思是如果不考虑波动率微笑的影响,深度虚值和深度实值的波动率实际上会低估导致期权理论价值低估吗?因为考虑波动率的影响时,深度虚值和深度实值的期权波动率会很大。
回答:
  对于汇率期权,如果不考虑波动率微笑的影响,用平值期权所计算的隐含波动率会低于实际的深度虚值和深度实值期权的波动率,而波动率越高,期权的价值越高;因此,相应的深度虚值与深度实值期权的理论价值与其实际价值相比将会被低估。




出场嘉宾三:午夜的太阳

05.jpg


 
提问者:花非花521
问题描述:
  请问在计算一个城市某行业的区位商时,其中有一项数据是全国从业人员数,我想问这个是城市统计年鉴中的哪项数据,全国从业人员数是单位从业人员数与私营和个体从业人员数之和吗?求大神们指点啊!!!
精彩回答:
  区位商是区域中某部门的就业人数或产值占区域总就业人数或总产值的比重与全国该部门的同类比重之比。一个部门的区位商或专业化指数越大,则专业化程度越高。在运用区位商要注意以下几个问题:1、注意适用范围,如专业化程度和优势度之类的;2、要注意所在地区和背景地区的指标统计口径要一致。正如楼主的问题一样,纠结的地方就是指标口径的问题。如果楼主要用就业人数数据,建议看看统计年鉴里的指标解释,口径保持一致,一般来讲,省级和市级的统计年鉴里的数据和国家的应该能够对应起来的,不过,我更建议楼主用产值指标,可能更好一些。




 
提问者:kevinbrown
问题描述:

土地发展权的补偿机制的研究涉及哪些问题?

精彩回答:
    从这个题目来看,应该属于土地管理领域硕士论文级别的题目,涉及到土地发展权,补偿机制等关键词。根据对题目的理解,这个题目研究应至少涉及以下几个问题:
  1、问题提出的背景
  2、土地发展权内涵和特征
  3、土地发展权设置的必要性和可行性
  4、土地发展权定价、价格形成机理、价格影响因素、估价方法
  5、土地发展权补偿内涵、补偿标准、补偿标准模型
  6、土地发展权补偿机制概念、补偿原则、补偿主体和对象、补偿资金来源、分配模式等。




 
提问者:微笑。掩饰
问题描述:
  农村居民居住用地被开发商开发,这算不算土地流转
精彩回答:
  不算,农村土地承包经营权流转不得改变承包土地的农业用途。农村居民居住用地,也就是宅基地,如果被国家征收,转变为国有土地,然后出让土地,由开发商开发,这是一般程序。如果没有改变所有权,目前属于小产权房范畴。




 
提问者:hyjkimi
问题描述:
  请教各位社群形成的测度指标有什么?_?跪求,多谢!!
精彩回答:
  楼主的问题过于简单,不是特别理解,如果楼主的社群概念是指人口社群的话,那么测度指标可以包括节点数、连接数、密度、平均度、互惠行、 连通性、平均距离等方面设计指标。仅供参考。




 
提问者:lijj320
问题描述:
  验证别人理论的文章如何写的有新意呢?
精彩回答:
  验证别人的理论,要想有新意,可以从以下2点去考虑
  1、如果别人的理论经过验证是正确的,那么新意就体现在验证的过程、步骤、前提条件等能够成为范式。
  2、如果别人的理论有缺陷,如果你能够指出缺陷所在,提出完善思路,或者能够直接证明别人的理论是错误的,那么这就是最大的新意。




 
提问者:白杨九
问题描述:
  我想做一个关于金融产业集聚的固定效应模型,需要一个代表金融产业信息传递成本的变量,跪求大家指导
精彩回答:
  金融产业信息传递成本,最主要的交易成本包括信息收集与处理成本、谈判与决策制定成本以及监督与执行成本。在信贷融资交易中,投资项目的融资需求、预期现金流量和风险相同的情况下,三类交易成本及其潜在影响因素决定了贷款人类型、融资期限、融资成本、抵押条款、限制条款和偿还。影响信贷融资交易成本的两类因素:一是关于借款人诚信和经营项目属性的信息在融资双方之间分布的不对称性以及贷款人处理相关信息的能力:二是经营项目未来现金流量的不确定性以及人们对未来不确定性做出准确预测的能力。可以从以上两类因素里设计出代表金融产业信息传递成本的变量指标。具体可参考文献袁克利《信息传递成本和预测能力不足对信贷契约的影响》。




 
提问者:苏亦可
问题描述:
  《创新视角下竞争优势转型研究》怎么写啊,没有思路,可以帮忙理理框架吗?
精彩回答:
  根据对题目的理解.应该创新是背景,竞争优势转型是核心内容,那么研究框架应该包括以下几个部分:创新对竞争优势转型的重要性,我国目前竞争优势转型现状,我国利用创新推动产业竞争优势转型中存在的障碍,建立服务于产业竞争的创新机制体系,对策和建议。仅供参考。
追问:
大神,谢谢您回答我的问题,现在导师刚给改了题目《知识创新视角下企业竞争优势转型研究》,您看应该怎么处理呢?
回答:
同样还是创新是背景,核心内容是竞争优势转型,只不过是把研究对象由国家、产业具体到了企业,其实套路是差不多的,只不过企业研究的话,最好能够案例就更好了。




 
提问者:乔巴wq
问题描述:
  模糊综合评价能不能用于有确定数据的指标体系的综合评价
  我刚开始学习模糊评价,看到文章中都是对一些定性指标进行评价,通过专家的评价结果进行换算成定量指标;那么直接对定量指标进行综合评价能不能使用模糊评价,或者还有其他更好的方法进行评价。
精彩回答:
  模糊综合评价法是一种基于模糊数学的综合评标方法。该综合评价法根据模糊数学的隶属度理论把定性评价转化为定量评价,即用模糊数学对受到多种因素制约的事物或对象做出一个总体的评价。它具有结果清晰,系统性强的特点,能较好地解决模糊的、难以量化的问题,适合各种非确定性问题的解决。因此,根据上述内涵,个人认为模糊综合评价不适用于有确定数据的指标体系的综合评价。而且对于有确定数据的指标体系的综合评价已经有很多已经很成熟的方法了,如熵权法、DEA、因子分析等。




 
提问者:binbin0570
问题描述:
  想请教个问题:“如何判断一个商品的价格合不合理?”,有没有相关的经济学模型或者理论?求大神指教。拜谢!!
精彩回答:
  商品价格的形成受多种因素影响,如商品价值、供求关系、预期、替代性等,价值规律指出即商品的价值量取决于社会必要劳动时间,商品按照价值相等的原则互相交换。商品价格受供求关系的影响,围绕价值上下波动,则是价值规律的表现形式。也就是说商品价格围绕价值上下波动,那么这个上下幅度就可以理解为商品价格合理性的阈值。但是现实情况却有些难以解释,如果一张邮票,具有收藏价值以后,可以炒到上千万,人民还是不断追逐,那么它的价格合理性在哪里?至于模型,这里推荐几篇文献,你可以参阅一下:1、吴杰.;2黄颖《信息商品价格理论模型的试探索》;3王志江.《信息商品价格决定模型》。岳冬冬.《商品价格合理性测算的程序实现》。




 
提问者:qiqimaizi
问题描述:
  请问大家,税收与产业经济学结合有什么可写的文章吗?都研二了,还一点思路没有呢
精彩回答:
  税收和产业经济学结合点有很多,以下是思路范例,仅供参考。
  1、税收与相关产业互动关系的实证研究。从理论上构建了税收与相关产业之间的相互传导机制;然后以面板数据为基础,运用面板数据估计、格兰杰因果检验和面板向量自回归模型等方法,实证分析相关产业与税收之间的互动关系。
  2、我国经济税源的产业与行业税负结构分析。税源产业及行业级别运行框架。税源分享与税收预测及改进税收管理等。具体参见。张培森《我国经济税源的产业与行业税负结构分析》。
  3、营改增对产业结构调整效应分析。分析当前的营改增改革对产业结构调整效应。应该比较有创新性。




出场嘉宾四:见路不走

06.jpg


 
提问者:樱木流川_123
问题描述:
  垄断企业永远能获得正的利润。这个说法对吗?
精彩回答:
  首先要区分超额利润和正常利润。正常利润则是一种报酬,对企业家才能,努力的回报,可以看成是企业家工作的收入,而超额利润是超出正常利润的部分,我们说的利润为0是指超额利润为0,而不是正常利润为0,即必定或得正常利润。在垄断竞争市场中,长期均衡时,若厂商能获得超额利润,我们假设企业家应该获得的正常利润为100,且这个正常利润恰是企业家在从事别的工作时能获得的收入,那么一旦企业家能获得超额利润,必会吸引到其他的企业家进入该行业,因为其他的企业家在从事别的工作只能获得100的收入,而进入这个行业不仅能获得100的正常利润还有部分超额利润,所以企业家进入这个行业是有利可图的,直到这个行业不再有超额利润,才不会有别的企业家进入。反之,如果这个行业获得的利润不足为90,这时本行业的企业家则会退出该行业而从事别的工作,因为在别的工作中能获得100收入,随着企业家的退出,该行业单个厂商的收入又会增加,直至正常利润又回到100,等于企业家从事其他工作的收入为止。
  总结,在长期均衡时,企业家获得的利润为0,超额利润为0,一定有正常利润(此处为100)。




 
提问者:jerryball312
问题描述:
  请问各位大神,人民币汇率中间价下调对各国的影响,比如说8月12日人民币汇率中间价大幅度下调,东南亚诸国和澳洲汇率的相继贬值是由人民币贬值引起的吗,为什么?人民币贬值促使美国在考虑加息时更为审慎的原因又是什么?
精彩回答:
  人民币贬值将使亚洲其它国家面临最大风险。更广泛的说,人民币贬值很可能导致亚洲地区国家的经济因出口下滑而疲软。甚至在这轮全球“货币战争”之前,新兴市场国家货币就因商品价格下跌,中国需求放缓,以及美联储加息临近而贬值。考虑到贸易联系比较紧密,以及出口商品种类重叠,东南亚国家和地区经济很可能面临人民币贬值的更大压力。东北亚地区与中国大陆的贸易最紧密,台湾与大陆的贸易占其GDP的16%,韩国与中国大陆的贸易占其GDP的10%,台湾和韩国出口的1/4都是面对中国。东南亚国家对中国的出口仅占10%,马来西亚和新加坡所占比例较大。但是,如果人民币贬值减少进口,亚洲商品出口商也将会受到打击,这将加剧商品价格向下压力。
  人民币贬值导致美国不敢轻易加息,因为在所有国家都在收紧货币政策的时候,美国在全球经济后QE时代尚未完全恢复平稳的情况下如果贸然加息,会导致全球经济遭受重大打击,这样就是全球经济雪山加霜,因此美国在作为全球经济领导者的情况下,不像其他无赖国家说加息就加息,说降息就降息,这也是美国信用和美元信用的强大之处。领导也不是那么好当的。




 
提问者:刘垣0531
问题描述:
  求问长期套期保值(如十年期)的具体手段是什么呢?可以用具体的例子说明是如何在十年内锁定未来的卖出价格呢??
精彩回答:
  一般来说长期套期保值都需要对应着期货或者期权上的远期合约,比如说在十年后获得美元兑人民币空头,那么就可以卖出10年期美元对人民币的期货合约。




 
提问者:mirjam1996
问题描述:
  一致同意规则为什么同意的人越多,执行成本越低?
精彩回答:
  一致同意原则意味着任何一个成员都有一票否决权,那么参与的人越多,执行成本就越高,因为很难办证一个方案满足所有的人的利益,这其中牵涉到反复得磋商和博弈以及讨价还价,但是如果同意的人越多,那么执行起来的成本必然就越低,同意的人越少,执行成本越高。




 
提问者:zzzkll
问题描述:
  我在书上看的这段话是一国利率升高,资本流入,由此本国货币需求增大,本币升值,外币贬值。而我记得宏观经济学讲的是利率升高,证券价格下降,导致货币需求减少,货币供给供给增加,怎么矛盾了
精彩回答:
  前者是从需求的角度来说,尤其是国际需求,后者是从供给来说,是国内的供给,两者并不矛盾,相反也是对立统一的。




 
提问者:熊XX
问题描述:
  看过说是准公共物品 看过薛兆丰教授说是私人物品
精彩回答:
  准公共物品。具有排他性,因为不花钱不能用,排他很容易做到,排他成本也低。但在大部分情况下不会拥堵,也就是大部分情况下具有非竞争性,即每多一辆车上高速,高速提供者的边际成本为零。




 
提问者:巴亚2013
问题描述:
  学税务的前途在那些方面?跪求高手指路!谢谢
精彩回答:
  学税务,到企业里面,如果是个小企业,最多是干个会计的角色。如果是个大企业,财务部里面专门有个税务经理,负责协调税务事宜、负责企业的税收申报、整体税负的协调等工作,当然了,担当税务经理需要很多实践经验。
  学税务还可以到会计师事务所、税务师事务所里面做中介。做税务代理、审计等工作。收入也差不多。但是需要你考证,需要你考注册税务师、注册会计师证书,如果你有这些证书,可以在当地混一个中等或者中等稍微靠上的收入水平。如果你没有证书,你永远是底层的工作人员。如果你考上了注册会计师,将来可以跳槽到企业里面做财务经理、财务总监等。
  别的就没有什么了。




 
提问者:温潮
问题描述:
  为什么GDP相对于GNP来说是国内就业状况的更好衡量指标
精彩回答:
  第一个原因是,本国国民国外净收入的数据不足,所以相比较而言GDP容易测量。
  第二个原因是GDP相对于GNP来说能更好得衡量国内的就业潜力,毕竟本国国民使用外资解决的是本国的就业问题。




 
提问者:dyc2
问题描述:
  一个小公司生产了5000美元电脑没买出去算不算gdp
精彩回答:
  要算进去。GDP的概念是“在某一既定时期一个国家或地区生产的所有的最终物品与劳务的市场价值。”,注意关键词,“生产出来的,而不是销售的,”所以只要是生产出来的,不管能否卖出去都要计入当年的GDP,没有卖出去的那个产品,一般看做是工厂自己购买的。




 
提问者:July默默
问题描述:
  英国为何不加入欧元区?
精彩回答:
  我的理解,一个是因为英镑的地位,另一个是因为金融业是英国的支柱产业,如果加入欧元区,英国人对货币及金融的控制力会减弱,对外依赖度增强,欧元区其实是曹操征战赤壁的铁索战船,虽然能压住风浪,但是一旦出现重大金融风暴,系统性风险将被无限放大,到时候英国自己也无法脱身,对国内产业造成严重影响。另外,这和英国特质以及英国历来实行的对欧战略有关,英国在历史上是一个非常保守但同时又很狡黠的国家,他们对欧洲大陆一贯的战略是分离之,而自己独善其身。




9月的活动虽然已经结束,但是我们的答疑还在继续!

只要你有问题,都可以和我们的特邀专家进行提问与交流,此外,请多多关注我们的微信与微博,与我们互动,我们等着你!

勾搭经管高手,秒找答案,戳这儿 

 微信 

07.jpg

扫描以上二维码,或者添加公众号“jgasker”和“经管爱问”即可

 微博 

08.png


09.jpg

二维码

扫码加我 拉你入群

请注明:姓名-公司-职位

以便审核进群资格,未注明则拒绝

全部回复
2015-10-6 12:28:20
提示: 作者被禁止或删除 内容自动屏蔽
二维码

扫码加我 拉你入群

请注明:姓名-公司-职位

以便审核进群资格,未注明则拒绝

2015-10-6 12:43:45
长风神舞真的好棒哟!
二维码

扫码加我 拉你入群

请注明:姓名-公司-职位

以便审核进群资格,未注明则拒绝

2015-10-6 12:59:02
二维码

扫码加我 拉你入群

请注明:姓名-公司-职位

以便审核进群资格,未注明则拒绝

2015-10-6 12:59:26
楼主辛苦
二维码

扫码加我 拉你入群

请注明:姓名-公司-职位

以便审核进群资格,未注明则拒绝

2015-10-6 13:00:21
kychan 发表于 2015-10-6 12:43
长风神舞真的好棒哟!
谢谢哈
二维码

扫码加我 拉你入群

请注明:姓名-公司-职位

以便审核进群资格,未注明则拒绝

点击查看更多内容…
相关推荐
栏目导航
热门文章
推荐文章

说点什么

分享

扫码加好友,拉您进群
各岗位、行业、专业交流群