全部版块 我的主页
论坛 经济学论坛 三区 微观经济学 经济金融数学专区
2019-7-22 17:00:55
浙江理工大学2019年601数学分析考研试题
5.png

解:
                      $S=\iint_\Sigma dS=\iint_\Sigma \sqrt{\frac{x^2}{x^2+y^2}+\frac{y^2}{x^2+y^2}+1}dxdy=\sqrt{2}\iint_\Sigma dxdy,$

                      $\Sigma :(x-1)^2+y^2=1,$

                       $\therefore S=\pi\sqrt{2}.$



                  
二维码

扫码加我 拉你入群

请注明:姓名-公司-职位

以便审核进群资格,未注明则拒绝

2019-7-22 17:01:38
浙江理工大学2019年601数学分析考研试题
6.png

证明:不失一般性,不妨设$f(a)<\mu<f(b)$.
          先考虑$\mu=0$的情况。此时有$f(a)<0,f(b)>0$.将$[a,b]$二等分,显然,其中必有一个区间其端点符号相反,取为$[a_1,b_1]\subset [a,b]$;再将$[a_1,b_1]$二等分,同理必有一个区间其端点符号相反,取为$[a_2,b_2]\subset [a_1,b_1]\subset [a,b],$而$f(a_2)f(b_2)<0$,.....,如此继续,形成一个收缩的区间套,由区间套定理,必存在一个公共点$\alpha $.假设$f(\alpha )\neq 0$.不妨设$f(\alpha )> 0$,而这是不可能的,因为在$[\alpha -\delta ,\alpha +\delta ]$存在无数多个区间,按上面区间的取法,两个端点外必有一个函数值小于0,与假设不符。同理,$f(\alpha )< 0$也是不可能的,故只有$f(\alpha )=\mu= 0$.

          再考虑$\mu \neq 0$的情况。此时,只要对函数$f(x)-\mu$应用上面的结论,必有$f(\alpha )-\mu=0$,即$\exists \alpha \in [a,b],s.t.f(\alpha )=\mu$.



二维码

扫码加我 拉你入群

请注明:姓名-公司-职位

以便审核进群资格,未注明则拒绝

2019-7-22 17:02:01
浙江理工大学2019年601数学分析考研试题
7.png



此题为基本题,利用定义证明即可。与“暨南大学2019年数学分析709考研试题三、4题”类似。(略)



二维码

扫码加我 拉你入群

请注明:姓名-公司-职位

以便审核进群资格,未注明则拒绝

2019-7-22 17:02:35
浙江理工大学2019年601数学分析考研试题
8.png


解:
            $\because |R|=|\frac{n^2}{(n+1)^2}|=1,$

            $\therefore -1< x< 1.$

二维码

扫码加我 拉你入群

请注明:姓名-公司-职位

以便审核进群资格,未注明则拒绝

2019-7-22 17:03:00
浙江理工大学2019年601数学分析考研试题
9.png

证明:
                    $\because x_n=\frac{1}{n}\in (0,+\infty ),$

                    $\therefore u_n=nx_ne^{-nx_n^2}=e^{-\frac{1}{n}}=1\nrightarrow 0,(n \to +\infty )$

             即,级数在$(0,+\infty )$上不一致收敛。

                    $\forall x\in [a,b]\subset (0,+\infty ),$

               有
                     $u_n=nxe^{-nx^2}\leq nae^{-na^2}\rightarrow 0,(n \to +\infty )$

                根据狄里赫莱特判别法,原级数内闭一致收敛、



二维码

扫码加我 拉你入群

请注明:姓名-公司-职位

以便审核进群资格,未注明则拒绝

2019-7-22 17:03:30
浙江理工大学2019年601数学分析考研试题
10.png

证明:由拉格朗日中值定理,
                                   $\forall x_1,x_2\in(0,1),s.t.$

                                    $|f(x_1)-f(x_2)|=|f'(\xi )(x_1-x_2)|< |x_1-x_2|,$

                        分两种情况:
                                     $1)、|x_1-x_2|< \frac{1}{2},\Rightarrow |f(x_1)-f(x_2)|< \frac{1}{2},$

                                      $2)、|x_1-x_2|\geq \frac{1}{2},$

                                    $\begin{align*}\Rightarrow |f(x_1)-f(x_2)|&=|f(x_1)-f(0)+f(1)-f(x_2)|\\&=|f'(\xi)x_1+f'(\eta )(1-x_2)|\\&<| 1-(x_1-x_2)|<\frac{1}{2}.
\end{align*}$

                          故,结论成立。



       注:本题解答由网友提供。



二维码

扫码加我 拉你入群

请注明:姓名-公司-职位

以便审核进群资格,未注明则拒绝

2019-7-26 10:47:32
河北大学2018数学分析624数学分析试题
1.png

解:
                        $\begin{align*}\lim_{n\to \infty}\frac{1^k+3^k+\cdots +(2n+1)^k}{n^{k+1}}&=\frac{1}{2}\lim_{n\to \infty}\frac{2}{n}((\frac{1}{n})^k+(\frac{3}{n})^k+\cdots +(\frac{2n+1}{n})^k)\\\\&=\frac{1}{2}\int_{0}^{1}x^kdx=\frac{1}{2(k+1)}x^{k+1}|_0^1\\\\&=\frac{1}{2(k+1)}.
\end{align*}$








二维码

扫码加我 拉你入群

请注明:姓名-公司-职位

以便审核进群资格,未注明则拒绝

2019-7-26 10:48:47
河北大学2018数学分析624数学分析试题
2.png
解:
           $\displaystyle \lim_{x\to +\infty }\frac{\int_{0}^{2x}(\arctan u)^2du}{\sqrt{1+x^2}}=\lim_{x\to +\infty }\frac{2(\arctan 2x)^2}{\frac{x}{\sqrt{1+x^2}}}=\lim_{x\to +\infty }\frac{2(2x)^2(1+\frac{1}{2}x^2)}{x}=0.$





二维码

扫码加我 拉你入群

请注明:姓名-公司-职位

以便审核进群资格,未注明则拒绝

2019-7-26 10:51:01
河北大学2018数学分析624数学分析试题
3.png



用隐函数求导,并注意链式法则。(略)



二维码

扫码加我 拉你入群

请注明:姓名-公司-职位

以便审核进群资格,未注明则拒绝

2019-7-26 10:51:42
河北大学2018数学分析624数学分析试题
4.png

解:
          作变量代换:
                                   $x=2\sin t,dx=2\cos tdt,$

                           $\begin{align*}\int \frac{x^2}{\sqrt{4-x^2}}dx&=\int \frac{4\sin^2t\cdot 2\cos t}{2\cos t}dt\\\\&=\int (1-\cos 2t)d(2t)\\\\&=2t-\sin 2t+C\\\\&=2\arcsin\frac{x}{2} -\frac{x}{2}\sqrt{4-x^2}+C.
\end{align*}$





二维码

扫码加我 拉你入群

请注明:姓名-公司-职位

以便审核进群资格,未注明则拒绝

2019-7-26 10:52:13
河北大学2018数学分析624数学分析试题
5.png

解:由于积分区域关于$z$轴上下对称,因此有:

                             $\displaystyle V=\iiint_\Omega 2z^2dxdydz=4\iiint_{\Omega'} z^2dxdydz,$

               两个球体的交线:

                                          $\begin{cases}
x^2+y^2 &=3 \\
z &=1
\end{cases},$

                      采用柱面坐标:
                                              $\begin{cases}
z&=z \\
x&=r\cos\theta \\
y&=r\sin\theta  
\end{cases},$

                          积分区域为:
                                                $\Omega':0\leq z\leq 1,0\leq r\leq \sqrt{3},0\leq z\leq 2-\sqrt{4-r^2}.$

                                    $\displaystyle \therefore V=4\int_{0}^{2\pi}d\theta\int_{0}^{\sqrt{3}}rdr\int_{0}^{2-\sqrt{4-r^2}}z^2dz=...... $



二维码

扫码加我 拉你入群

请注明:姓名-公司-职位

以便审核进群资格,未注明则拒绝

2019-7-26 10:52:49
河北大学2018数学分析624数学分析试题
6.png

解:添加一个平面$z=1$方向向下,使之与$\Sigma$组成一个闭合曲面,再利用高斯公式。
                             $\begin{align*}I&=\iint_\Sigma (3x+z) dzdy+zdxdy\\\\&=\iiint_\Omega (3+1)dxdydz-\iint_{z=1}dxdy\\\\&=4\int_{0}^{2\pi}d\theta \int_{0}^{1}rdr\int_{0}^{r}dz-\pi\\\\&=3\pi.
\end{align*}$


二维码

扫码加我 拉你入群

请注明:姓名-公司-职位

以便审核进群资格,未注明则拒绝

2019-7-26 10:53:20
河北大学2018数学分析624数学分析试题
7.png

解:
                       $\displaystyle \sum_{n=1}^{\infty }\frac{x^{2n+2}}{2n+1}=x\sum_{n=1}^{\infty }\frac{x^{2n+1}}{2n+1},$

                         $\because |R|=|\frac{2n+3}{2n+1}|=1,$

                         $\therefore -1\leq x< 1,$

                     设:
                               $\displaystyle S_n=\sum_{k=1}^{n}\frac{x^{2k+1}}{2k+1},$

                               $\displaystyle S'_n=(\sum_{k=1}^{n}\frac{x^{2k+1}}{2k+1})'=\sum_{k=1}^{n}x^{2k}=\frac{x^2-x^{2n+3}}{1-x^2},$

                              $\displaystyle S=\lim_{n \to \infty }\int S'_n=\int \frac{x^2}{1-x^2}dx=-x+\ln\frac{1+x}{1-x}.$

                            $\displaystyle \therefore \sum_{n=1}^{\infty }\frac{x^{2n+2}}{2n+1}=xS=-x^2+\frac{1}{2}\ln\frac{1+x}{1-x}.$



二维码

扫码加我 拉你入群

请注明:姓名-公司-职位

以便审核进群资格,未注明则拒绝

2019-7-26 10:54:06
河北大学2018数学分析624数学分析试题
8.png
证明:

           令:
                            $f(x)=x^2-(1+x)\ln^2(1+x),$

                  则
                               $f'(x)=2x-\ln^2(1+x)-\frac{2(1+x)\ln(1+x)}{1+x}=2x-\ln^2(1+x)-2\ln(1+x),$         

                               $f''(x)=2-\frac{2\ln(1+x)}{1+x}-\frac{2}{1+x}=\frac{2x-2\ln(1+x)}{1+x},$

                                          $\because \ln(1+x)< x,$

                                           $\therefore f''(x)> 0,\rightarrow f'(x)\uparrow ,$

                                            $\because f'(0)=0,\rightarrow f'(x)> 0,(x> 0)$

                                             $\therefore f(x)\uparrow ,$
                                   而
                                             $\because f(0)=0,$

                                            $\therefore f(x)> 0,\rightarrow x^2> (1+x)\ln^2(1+x).$


二维码

扫码加我 拉你入群

请注明:姓名-公司-职位

以便审核进群资格,未注明则拒绝

2019-7-26 10:54:39
河北大学2018数学分析624数学分析试题
9.png

证明:
                     $\because x_n\neq -\frac{1}{n}x_n,\Rightarrow \sum x_n\neq -\sum \frac{1}{n}x_n,$

                     $\therefore  \sum (1+\frac{1}{n})x_n=\sum x_n+\sum \frac{1}{n}x_n\neq 0,$

            由已知,级数$\sum x_n$发散,故无论级数$\sum \frac{1}{n}x_n$收敛与否,所求级数$\sum (1+\frac{1}{n})x_n$均发散。





二维码

扫码加我 拉你入群

请注明:姓名-公司-职位

以便审核进群资格,未注明则拒绝

2019-7-26 10:55:06
河北大学2018数学分析624数学分析试题
10.png

证明:
              因为$\{x_n\}$有界,可以从中取出两个目子列:一个单调降$\{x^{(1)}_{n_k}\}$,另一个单调增子列$\{x^{(2)}_{n_k}\}$.
                  显然$\{x^{(1)}_{n_k}\}$有下界,故收敛。

                  同理,$\{x^{(2)}_{n_k}\}$有上界,故也收敛。

                 因此,命题成立。



二维码

扫码加我 拉你入群

请注明:姓名-公司-职位

以便审核进群资格,未注明则拒绝

2019-7-26 10:55:33
河北大学2018数学分析624数学分析试题
11.png
证明:
                   $\because f(x)\in C[0,3],\therefore f(x)\in C[0,2],$

              由此可知,在$[0,2]$内函数有最大值$M$和最小值$m$.即有:

                                            $m\leq f(x)\leq M,x\in [0,2]$

                                         $\Rightarrow m\leq \frac{f(0)+f(1)+f(2)}{3}\leq M.$

                 因此,由介值定理,

                                          $\exists c\in (0,2),s.t.f(c)=\frac{f(0)+f(1)+f(2)}{3}=1.$

                                          $\therefore f(c)=f(3)=1,$

                           再由Roll中值定理

                                          $\exists \alpha \in (c,3)\sqsubset (0,3),s.t.f'(\alpha )=0.$   






二维码

扫码加我 拉你入群

请注明:姓名-公司-职位

以便审核进群资格,未注明则拒绝

2019-7-26 10:55:58
河北大学2018数学分析624数学分析试题
12.png


此题为经典题,已经在多所学校的考题中出现。一般教材中都有详解。







二维码

扫码加我 拉你入群

请注明:姓名-公司-职位

以便审核进群资格,未注明则拒绝

2019-7-26 12:00:18
中山大学2019年考研试题682数学分析(A)
zs1.png

解:
   (1.1)、
                     $\displaystyle \lim_{x\to 0}\frac{x-\sin x}{x(1-\cos x)}=\lim_{x\to 0}\frac{\frac{1}{3!}x^3}{x\cdot \frac{1}{2}x^2}=\frac{1}{3}.$

    (1.2)、
                    $\begin{align*}\lim_{n \to \infty }(\sin\frac{1}{n})\sum_{k=1}^{n}\frac{n^2}{n^2+k^2}&=\lim_{n \to \infty }(\frac{1}{n})\sum_{k=1}^{n}\frac{1}{1+(\frac{k}{n})^2}\\\\&=\int_{0}^{1}\frac{1}{1+x^2}dx\\\\&=\arctan x|_0^1=\frac{\pi}{4}.
\end{align*}$

二维码

扫码加我 拉你入群

请注明:姓名-公司-职位

以便审核进群资格,未注明则拒绝

2019-7-26 12:00:48
中山大学2019年考研试题682数学分析(A)
zs2.png

解:
          (2.1)、
                               $\begin{align*}\because I=\int e^{-x}\sin2xdx&=-e^{-x}\sin2x+2\int e^{-x}\cos2xdx\\\\&=-e^{-x}\sin2x-2e^{-x}\cos2x-4\int e^{-x}\sin2xdx \\\\&=-e^{-x}\sin2x-2e^{-x}\cos2x-4I.
\end{align*}$

                              $\therefore I=-\frac{1}{5}e^{-x}\sin2x-\frac{2}{5}e^{-x}\cos2x+C.$

          (2.2)、
                               $\begin{align*}\int_{-1}^{1}\frac{x}{x^2-x+1}dx&=\int_{-1}^{1}\frac{x-\frac{1}{2}}{(x-\frac{1}{2})^2+\frac{3}{4}}dx+\int_{-1}^{1}\frac{\frac{1}{2}}{(x-\frac{1}{2})^2+\frac{3}{4}}dx\\\\&=\frac{1}{2}\ln((x-\frac{1}{2})^2+\frac{3}{4})|_{-1}^1+\frac{2}{3}\arctan (\frac{2\sqrt{3}}{3}(x-\frac{1}{2}))|_{-1}^1\\\\&=\frac{\pi}{3}.
\end{align*}$


二维码

扫码加我 拉你入群

请注明:姓名-公司-职位

以便审核进群资格,未注明则拒绝

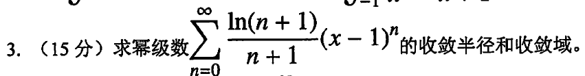
2019-7-26 12:01:07
中山大学2019年考研试题682数学分析(A)
zs3.png

解:
                    $\because |R|=1,$

                    $x-1=1,a_n\nrightarrow 0,(n \to \infty )$

                    $x-1=-1,a_n\nrightarrow 0,(n \to \infty )$

                    $\therefore 0< x< 2,$


二维码

扫码加我 拉你入群

请注明:姓名-公司-职位

以便审核进群资格,未注明则拒绝

2019-7-26 12:01:34
中山大学2019年考研试题682数学分析(A)
zs4.png

解:
                     $\begin{align*}\sum_{n=1}^{\infty }nx^{2n-1}&=\frac{1}{x}\sum_{n=1}^{\infty }nx^{2(n-1)}\\\\&=\frac{1}{x}(\lim_{n \to \infty }\sum_{k=1}^{n}\int_{0}^{x}kx^{2(k-1)}dx)'\\\\&=2(\lim_{n \to \infty }\sum_{k=1}^{n}x^{2k})'\\\\&=2(\lim_{n \to \infty }\frac{x^2-x^{2(n+1)}}{1-x^2})'\\\\&=2(\frac{x^2}{1-x^2})'\\\\&=\frac{4}{(1-x^2)^2}.
\end{align*}$



二维码

扫码加我 拉你入群

请注明:姓名-公司-职位

以便审核进群资格,未注明则拒绝

2019-7-26 12:01:59
中山大学2019年考研试题682数学分析(A)
zs5.png
证明:
                             $\because a< b,$

                             $\therefore a< \frac{a+b}{2}< b,$

             由已知,$f(x)$在实数域上连续,由连续函数的介值定理,

                              $\exists \xi \in (-\infty ,+\infty )=R,s.t.f(\xi )=\frac{a+b}{2}.$






二维码

扫码加我 拉你入群

请注明:姓名-公司-职位

以便审核进群资格,未注明则拒绝

2019-7-26 12:02:23
中山大学2019年考研试题682数学分析(A)
zs6.png
证明:
            将实轴分为三段,分别讨论函数的性质。

                             当$\forall x\in [a,b]$,由已知,函数连续,所以在闭区间上一致收敛;

                             当$\forall x\in (-\infty ,a]$,由于函数连续,且$\lim\limits_{x\rightarrow -\infty }f(x)< M,$,故可导。

                      利用中值定理,有:
                                        $\forall x_1,x_2\in (-\infty ,a],\varepsilon > 0,\exists \delta > 0,|x_1-x_2|< \delta ,s.t.$

                                        $|f(x_1)-f(x_2)|=|f'(\xi)(x_1-x_2)|< L|x_1-x_2|<\varepsilon $

                                 由此,函数一致连续;

                           同理可知,当$\forall x\in [b,+\infty)$,函数也一致连续。





二维码

扫码加我 拉你入群

请注明:姓名-公司-职位

以便审核进群资格,未注明则拒绝

2019-7-26 12:02:45
中山大学2019年考研试题682数学分析(A)
zs7.png

证明:
                      $\because f'(x)=2x+\cos x,$

                      $\therefore f''(x)=2-\sin x> 0,\rightarrow f'(x)\uparrow ,$

                       $\because f'(0)=1,$

                       $\therefore f'(x)\geq f'(0)=1> 0,\rightarrow f(x)\uparrow ,$

                   而由
                        $f(0)=-2< 0,f(\frac{\pi}{2})=\frac{\pi^2}{4}-1> 0$

                 可知,在区间内函数至少存一个点使得函数值为零,即方程有零解。另一方面,由函数的单调性知,只能有唯一一个零点,方程有唯一解。


二维码

扫码加我 拉你入群

请注明:姓名-公司-职位

以便审核进群资格,未注明则拒绝

2019-7-26 12:03:05
中山大学2019年考研试题682数学分析(A)
zs8.png


证明:
                      $\because |\frac{(-1)^n}{x+n}|< \frac{1}{n}\rightarrow 0,(n \to \infty )$

                       故由级数判别法知,一致收敛。





二维码

扫码加我 拉你入群

请注明:姓名-公司-职位

以便审核进群资格,未注明则拒绝

2019-7-26 12:03:29
中山大学2019年考研试题682数学分析(A)
zs9.png

解:
                  $\ln(1+x)=x-\frac{x^2}{2}+\frac{x^3}{3}-\frac{x^4}{4}+\cdots +(-1)^{n+1}\frac{x^n}{n}+\cdots=\sum_{n=1}^{\infty }\frac{(-1)^{n+1}x^n}{n} .$

                  $\ln^2(1+x)=(\sum_{n=1}^{\infty }\frac{(-1)^{n+1}x^n}{n})^2=2\sum_{n=1}^{\infty }(1+\frac{1}{2}+\frac{1}{3}+\cdots +\frac{1}{n})\frac{(-1)^{n+1}x^{n+1}}{n+1}.$

              当$x=1$ 时,我们有
      
                                  $\sum_{n=1}^{\infty }(1+\frac{1}{2}+\frac{1}{3}+\cdots +\frac{1}{n})\frac{(-1)^{n+1}}{n+1}=\frac{1}{2}\ln^22.$
                                    


参见:《数学分析中的典型问题与方法 (第2版)》裴礼文,p556,例5.3.06.



二维码

扫码加我 拉你入群

请注明:姓名-公司-职位

以便审核进群资格,未注明则拒绝

2019-7-26 12:03:52
中山大学2019年考研试题682数学分析(A)
zs10.png

解:
                      $\begin{align*}\oint_L\frac{(x+y)dx+(y-x)dy}{\sin(x^2+y^2)}&=\frac{1}{\sin1}\oint_L(x+y)dx+(y-x)dy\\\\&=\frac{1}{\sin1}\iint_D(-1-1)dxdy\\\\&=-\frac{\pi}{\sin1}.
\end{align*}$




二维码

扫码加我 拉你入群

请注明:姓名-公司-职位

以便审核进群资格,未注明则拒绝

2019-7-26 12:04:12
中山大学2019年考研试题682数学分析(A)
zs11.png

解:
                   $\iint_Sxdydz+ydzdx+zdxdy=\iiint_\Omega (1+1+1) dV=3\iiint_\Omega dV,$

                    $\Omega :(x-2)^2+y^2=4,0\leq z\leq 4.$

                    $\therefore \iint_Sxdydz+ydzdx+zdxdy=3\cdot \pi\cdot 4\cdot 4=48\pi.$



二维码

扫码加我 拉你入群

请注明:姓名-公司-职位

以便审核进群资格,未注明则拒绝

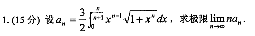
2019-7-30 07:41:10
中山大学2019年考研试题679数学分析与高等代数

sg1.png

解:
                             $\begin{align*}\because a_n&=\frac{3}{2}\int_{0}^{\frac{n}{n+1}}x^{n-1}\sqrt{1+x^n}dx\\\\&=\frac{3}{2}\int_{0}^{\frac{n}{n+1}}\frac{1}{n}\sqrt{1+x^n}d(1+x^n)\\\\&=\frac{1}{n}(1+x^n)^{\frac{3}{2}}|_0^{\frac{n}{n+1}}\\\\&=\frac{1}{n}(1+(\frac{n}{n+1})^n)^{\frac{3}{2}}-\frac{1}{n}.
\end{align*}$

                              $\displaystyle \therefore \lim_{n \to \infty }na_n=\lim_{n \to \infty }((1+(\frac{n}{n+1})^n)^{\frac{3}{2}}-1)=(1+\frac{1}{e})^{\frac{3}{2}}-1.$



二维码

扫码加我 拉你入群

请注明:姓名-公司-职位

以便审核进群资格,未注明则拒绝

栏目导航
热门文章
推荐文章

说点什么

分享

扫码加好友,拉您进群
各岗位、行业、专业交流群