经管之家App
让优质教育人人可得
立即打开
全部版块
我的主页
›
论坛
›
经济学论坛 三区
›
微观经济学
请教什么是price independent generalized logarithmic
楼主
runzede
2545
1
收藏
2010-08-30
什么是price independent generalized logarithmic 偏好?它有什么特点?谢谢
扫码加我 拉你入群
请注明:姓名-公司-职位
以便审核进群资格,未注明则拒绝
全部回复
沙发
runzede
2010-8-30 10:31:31
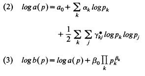
看到文献上PIGLOG的成本函数为:
对于近乎完美的需求体系(AIDS):
为什么生存支出设成公式(2),而享乐支出设成公式(3)呢?谢谢
扫码加我 拉你入群
请注明:姓名-公司-职位
以便审核进群资格,未注明则拒绝
相关推荐
[转帖]一个成熟恋情必须经过四个阶段
上贴没有传起文件,请大家在看看,帮忙解决下
How to use Excel to perform Independent Samples t-Test
求助文献Independent impact of body mass index and metabolic syndrome on the risk
地标金融接入汇付天下托管平台
英国独立报 The Independent 20150722 PDF
英国独立报 The Independent 20150722 PDF
英国独立报 The Independent - 6 August 2015
BVARs using Independent Normal-Wishart Prior in Matlab
The_Independent_June_24_2019
栏目导航
微观经济学
经管文库(原现金交易版)
行业分析报告
数据求助
数据交流中心
经管在职研
热门文章
CDA数据分析师:商业数据分析实践的核心执行 ...
Stata 19.0 Win 安装文件
springer book-Teaching Econometrics
王石更新动态 破除失联传言
【顶刊热点,24重磅!】2005-2024上市公司高 ...
CDA数据分析师:商业数据分析体系构建的核心 ...
CDA数据分析脱产就业班于2025年12月08日开班 ...
Stata 最新外部指令(含Meta-Analysis及DAS ...
财新 周刊26年
中信期货宏观视角大宗商品定价探索之二:产 ...
推荐文章
【必看】【本版版规,欢迎发悬赏贴求助】
26年寒假天津站|Gemini论文写作&数据分析 ...
2026JG学术冬训营:从Stata初高到Python机器 ...
关于如何利用文献的若干建议
关于学术研究和论文发表的一些建议
关于科研中如何学习基础知识的一些建议 (一 ...
一个自编的经济学建模小案例 --写给授课本科 ...
AI智能体赋能教学改革: 全国AI教育教学应用 ...
2025中国AIoT产业全景图谱报告-406页
关于文献求助的一些建议
说点什么
分享
微信
QQ空间
QQ
微博
扫码加好友,拉您进群
各岗位、行业、专业交流群