全部版块 我的主页
论坛 计量经济学与统计论坛 五区 计量经济学与统计软件 Stata专版
723 1
2018-08-05
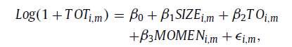
最近看到一篇文章中提到time-series average coefficients不明白什么意思,图片是模型和回归结果,这结果怎么得到的呢?
1533435652937456.png 1533435653212590.png
二维码

扫码加我 拉你入群

请注明:姓名-公司-职位

以便审核进群资格,未注明则拒绝

全部回复
2018-8-5 11:13:33
wty666 发表于 2018-8-5 10:20
最近看到一篇文章中提到time-series average coefficients不明白什么意思,图片是模型和回归结果,这结果怎 ...
形式上考虑logit regression<br>
从odds ratio理解TOT<br>
具体TOT涵义期待补充
二维码

扫码加我 拉你入群

请注明:姓名-公司-职位

以便审核进群资格,未注明则拒绝

栏目导航
热门文章
推荐文章

说点什么

分享

扫码加好友,拉您进群
各岗位、行业、专业交流群