全部版块 我的主页
论坛 数据科学与人工智能 数据分析与数据科学 SAS专版
2703 6
2019-12-30
求助各位大神!!!青铜一枚,用SAS做SGPLOT和SGPANEL时想自定义线型和颜色,说明如下:
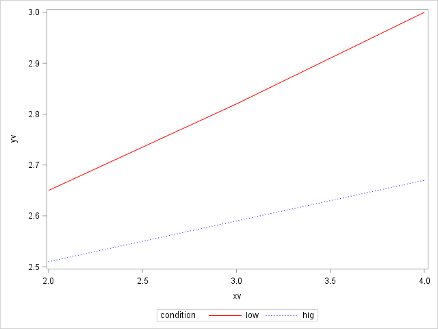
DATA DATA_1; INPUT XV WV YV;  
   IF (WV= 2) then Condition = 'LOW';    IF (WV= 4) then Condition = 'HIGH';
datalines;
2 2 2.65
3 2 2.82
4 2 3.00
2 4 2.51
3 4 2.59
4 4 2.67
RUN;
PROC SGPLOT;
   REG x=XV y=YV/group=Condition nomarkers;
   XAXIS label='XV';
   YAXIS label='YV'; run;

程序默认为"LOW"为红色实线,“HIGH"为蓝色实线,想自定义为"HIGH"为红色实线(Solid),"LOW"为蓝色虚线(MediumDash),应如何自定义?(请参照图片)

拜托!!
DATA_1 PLOT.png



二维码

扫码加我 拉你入群

请注明:姓名-公司-职位

以便审核进群资格,未注明则拒绝

全部回复
2019-12-30 16:42:36
二维码

扫码加我 拉你入群

请注明:姓名-公司-职位

以便审核进群资格,未注明则拒绝

2019-12-30 16:48:46
1.png
二维码

扫码加我 拉你入群

请注明:姓名-公司-职位

以便审核进群资格,未注明则拒绝

2019-12-30 21:06:57
jg.sas 发表于 2019-12-30 16:48
不好意思,线的颜色可以变化,但线形没变,或者全变成dot了[sweat][sweat]
二维码

扫码加我 拉你入群

请注明:姓名-公司-职位

以便审核进群资格,未注明则拒绝

2019-12-30 21:58:09
jg.sas 发表于 2019-12-30 16:48
解决了,非常感谢!
在这个前面,需要加上 "attrpriority=none"
二维码

扫码加我 拉你入群

请注明:姓名-公司-职位

以便审核进群资格,未注明则拒绝

2019-12-31 08:12:54
data www;
input w xv yv;  
if (w= 2) then condition = 'low';
if (w= 4) then condition = 'high';
datalines;
2 2 2.65
2 3 2.82
2 4 3.00
4 2 2.51
4 3 2.59
4 4 2.67
;
ods graphics / attrpriority=none;
proc sgplot data=www;
styleattrs datalinepatterns=(solid dot) datacontrastcolors=(red blue) ;
series x=xv y=yv / group=condition;
keylegend;
xaxis label='xv';
yaxis label='yv';
run;
附件列表
SGPlot21.png

原图尺寸 13.68 KB

SGPlot21.png

二维码

扫码加我 拉你入群

请注明:姓名-公司-职位

以便审核进群资格,未注明则拒绝

点击查看更多内容…
栏目导航
热门文章
推荐文章

说点什么

分享

扫码加好友,拉您进群
各岗位、行业、专业交流群