全部版块 我的主页
论坛 提问 悬赏 求职 新闻 读书 功能一区 经管文库(原现金交易版)
211 2
2025-01-21

全国315城市地级市政府超时加班数据(2012-2024)含城市政府地址定位夜间灯光值


数据背景与简介


超时加班已成为当前基层政府常见的劳动现象,尤其对面向群众的服务部门影响较大。政府部门的超时加班不仅会影响劳动收入份额,还可能影响到社会经济及政府决策。本次分享的数据是基于NASA日度夜间灯光数据,对中国地级市2012-2024年政府超时加班情况进行详细分析。


一、数据基本信息

        •        数据名称:中国地级市-政府超时加班数据

                数据年份2012-2024年

                数据范围全国各省315个地级市/城市

        •        数据格式:Excel

        •        灯光来源:NASA

二、数据指标

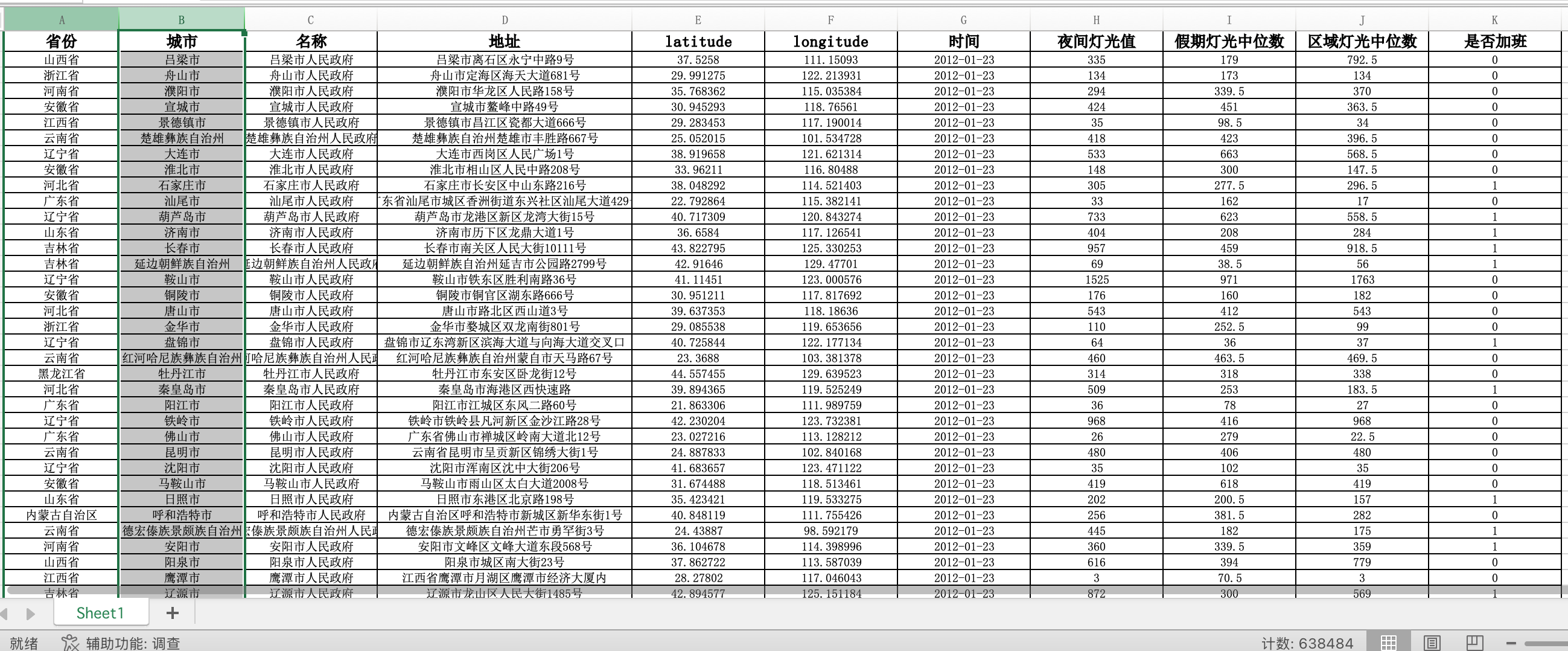
省份

城市

名称

地址

latitude

longitude

时间

夜间灯光值

假期灯光中位数

区域灯光中位数

是否加班


三、参考文献


宣扬, 武凯文. 超时加班与劳动收入份额:基于卫星夜间灯光的经验证据[J]. 世界经济, 2023, 46(10): 217-240.


四、测算方式

        1.        从NASA下载校正后的VNP46A2日度夜间灯光数据,解析HDF5格式文件,获取约4T的500米分辨率夜间灯光数据。

        2.        剔除因云层、极端事件等导致的数据异常,确保对照网格数量充足,并剔除观测不足的记录。

        3.        通过百度地图获取全部政府地址,再通过高德API匹配经纬度,并进行地址纠偏得出政府的经纬度数据。

        4.        将政府所在网格在法定节假日的灯光亮度的中位数作为基准,若某日亮度超过基准,可能表明夜间加班。

        5.        将政府周边网格的灯光亮度的中位数作为基准,若某日亮度超过周边网格,可能表明夜间加班。

        6.        同时满足时间和空间维度标准时,认定为超时加班,1为加班,0为不加班。


五、数据概览

WechatIMG1095.jpg



二维码

扫码加我 拉你入群

请注明:姓名-公司-职位

以便审核进群资格,未注明则拒绝

全部回复
2025-1-22 23:35:28
购买资料主要是用的放心,我们出售的资料都是包售后的。
本店同类数据,购买一次后续更新可凭购买记录免费领取最新版(每年单独计价类除外),请大家放心购买!

若有问题也可以留言私信,我们会在第一时间进行回复~
100元以上可提供发票,需要发票请私信联系。谢谢!
二维码

扫码加我 拉你入群

请注明:姓名-公司-职位

以便审核进群资格,未注明则拒绝

相关推荐
栏目导航
热门文章
推荐文章

说点什么

分享

扫码加好友,拉您进群
各岗位、行业、专业交流群