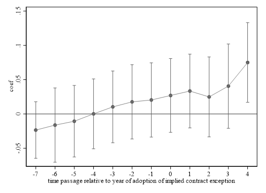
你的解释基本上是正确的,但在严谨性和清晰度上还可以稍作调整。根据你描述的情况,你的研究设计中确实采用了平行趋势检验(即DID方法的一个关键假设),通过比较政策实施前的多年数据来评估控制组和处理组之间是否存在显著差异。如果在政策实施前,这些系数不显著(即p值大于通常接受的标准如0.1或0.05),这可以被解释为两个组别在没有干预时有着相似的发展趋势。
你指出政策效应在第4年后才变得显著,这表明确实存在一个延迟效果。这种结果不仅符合平行趋势的假设——因为在政策实施前没有检测到显著差异——还揭示了政策影响的时间滞后性。这样的发现很重要,因为它说明了政策可能需要一段时间才能显现出其全部或预期的效果。
因此,在你的结论中,可以这样阐述:“平行趋势检验的结果表明,在试点政策正式推出之前,实验组和对照组的经济表现(或具体变量)没有显著差异,这符合DID方法的基本假设。进一步分析显示,尽管在政策执行初期效应不明显,但在实施后的第4年,我们观察到了政策产生的显著正向影响,这说明了政策效果的存在及其可能的时间滞后性。”
这样的解释清晰地传达了你的研究发现,并对平行趋势检验的通过与否给出了明确的答案。
此文本由CAIE学术大模型生成,添加下方二维码,优先体验功能试用