经管之家App
让优质教育人人可得
立即打开
全部版块
我的主页
›
论坛
›
提问 悬赏 求职 新闻 读书 功能一区
›
经管文库(原现金交易版)
【2025年新款】2000-2024年A股上市公司SYN股价同步性与股价信息含量数据含do代码[月]
楼主
lenosky
236
0
收藏
2025-02-16
【2025年新款】2000-2024年A股上市公司SYN股价同步性与股价信息含量数据含do代码[月]
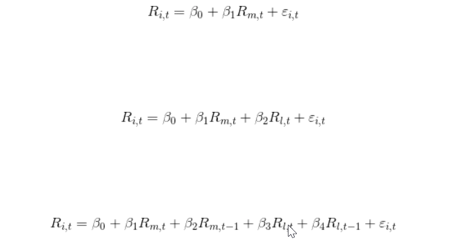
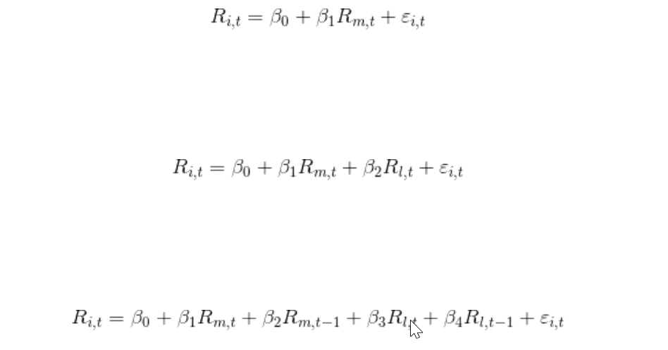
参照文献:
信息透明度_机构投资者与股价同步性--王亚平
分析师能降低股价同步性吗--基于研究报告文本分析的实证研究
中国的证券分析师能够提高资本市场省略股价同步性和股价信息含量的经验证据---朱红军
【2025年新款】2000-2024年A股上市公司SYN股价同步性与股价信息含量数据含do代码[月](1)
大小:(76 Bytes)
只需: RMB 38元
马上下载
计算频率:月度
需要年度版本可点这里直达
构建结果:
每年样本量:
附件列表
20250216134527.png
原图尺寸 33.37 KB
扫码加我 拉你入群
请注明:姓名-公司-职位
以便审核进群资格,未注明则拒绝
相关推荐
中金重点研究的A股上市公司(截止2007年1月25日)
悬赏征收 A股上市公司2000~2012年报中报季报 三大表数据
2005—2012年所有A股上市公司的资料都在这啦
求2012-2013年A股上市公司是否海外销售的数据
求找2013年A股上市公司技术人员占比的数据!
求2009-2015年A股上市公司的捐赠数据
求每年企业的专利授权数据!
券商对A股上市公司2019年中期报告总结点评解析合集(1)
券商对A股上市公司2019年中期报告总结点评解析合集(9)
各省A股上市公司
栏目导航
经管文库
悬赏大厅
求助成功区
stata专版
行业分析报告
文献求助专区
热门文章
《那年2003》第67章:预警信号频发?CDA老哥 ...
北美PHD,焦虑的一批~
计算方法丛书006 无约束最优化计算方法 邓乃 ...
通用指标与场景指标:CDA数据分析师的核心分 ...
2024年合集 ESG评级数据大全(彭博 华证 Wi ...
人工智能赋能应用实践指南
中国企业高质量发展展望穿越周期与聚力创新
人工智能赋能应用实践指南
中国企业高质量发展展望穿越周期与聚力创新
多模态大语言模型技术发展报告
推荐文章
【推荐】SYN股价同步性/股价信息含量数据计算Stata代码(附原始数据和2000-2019年结果
【推荐】SYN股价同步性/股价信息含量数据计算Stata代码(附原始数据和2000-2020年结果
【推荐】SYN股价同步性/股价信息含量数据计算Stata代码(附原始数据和2000-2021年结果
【推荐】SYN股价同步性/股价信息含量数据计算Stata代码(附原始数据和2000-2022年结果
【月度】SYN股价同步性/股价信息含量数据计算Stata代码(附原始数据和2000-2019年结果)
2026JG学术冬训营:从Stata初高到Python机器 ...
说点什么
分享
微信
QQ空间
QQ
微博
扫码加好友,拉您进群
各岗位、行业、专业交流群