数据简介基尼系数是一个国际上广泛用来综合考察居民内部收入分配差异状况的重要指标,在夜间灯光研究中被应用于量化空间发展不均衡性。其核心思想是通过测量实际分布与完全平等分布之间的差距来衡量不平等程度。
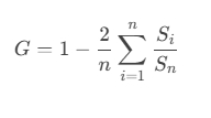
基尼系数基于洛伦兹曲线(Lorenz Curve)概念,该曲线描述了累积人口比例与累积财富(在此处为灯光强度)比例之间的关系。而夜间灯光数据主要来源于卫星对地球夜间的观测,通过捕捉地面上的灯光亮度来反映人类活动的强度和分布情况。在一定程度上,灯光亮度可以与地区的经济发展水平、人口密度以及居民的收入水平相关联。其计算公式如下:

数据指标
| 时间跨度 | 1992-2023 |
| 区域跨度 | 中国地级市 |
| 数据格式 | 数据格式为Excel形式 |
数据展示
参考文献[1]赵建梅,祝雨翔.市场化进程与地区经济不均衡——基于夜间灯光数据的分析[J].中央财经大学学报,2023,(04):105-117.