全部版块 我的主页
论坛 提问 悬赏 求职 新闻 读书 功能一区 经管文库(原现金交易版)
133 0
2025-04-15

01、数据简介

知识重组创造是指搜索从未整合过的知识元素,构建新的知识元素组合关系。这种方式涉及将原本没有关联或未被整合在一起的知识元素进行新的组合,从而形成全新的知识或见解。

知识重组再利用则是指对已建立起来的知识元素进行改进或重新组合,以解决新问题或开发新应用。

知识重组创造和知识重组再利用是知识管理和创新过程中的重要手段,它们有助于推动知识的不断更新和进步,为社会发展提供源源不断的智力支持。

数据名称:上市公司-知识重组创造、知识重组再利用数据

数据年份:2012-2023年


参考文献:[1]陈立勇,张洁琼,曾德明,等.知识重组、协作研发深度对企业技术标准制定的影响研究[J].管理学报,2019,16(04):531-540.

[2]余良如,于渤.知识重组对高技术企业创新绩效的影响机制研究[J].研究与发展管理,2024,36(03):70-83.

02、相关数据

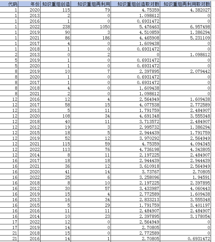
代码、年份、知识重组创造、知识重组再利用、知识重组创造取对数、知识重组再利用取对数。

知识重组再利用:计算五年内某一专利的ipc分类号组合是否出现过,若出现过,则该专利为知识重组再利用专利
知识重组创造:若没出现过,则该专利为知识重组创造专利

03、数据截图




附件列表
二维码

扫码加我 拉你入群

请注明:姓名-公司-职位

以便审核进群资格,未注明则拒绝

相关推荐
栏目导航
热门文章
推荐文章

说点什么

分享

扫码加好友,拉您进群
各岗位、行业、专业交流群