全部版块 我的主页
论坛 提问 悬赏 求职 新闻 读书 功能一区 经管文库(原现金交易版)
546 0
2025-04-24
中国全国各省份城市区县银行业金融机构基本信息表2018-2025每万人拥有的网点数2005-2023

数据来源:基于世界银行wdi、国内各部委公布数据及各地统计数据整理,或相关省、市数据
数据范围:全球、全国、或各省份地市的统计数据
数据期间:(参见其文件名的标识表达了数据年度、或月度日度期间)
主要指标:

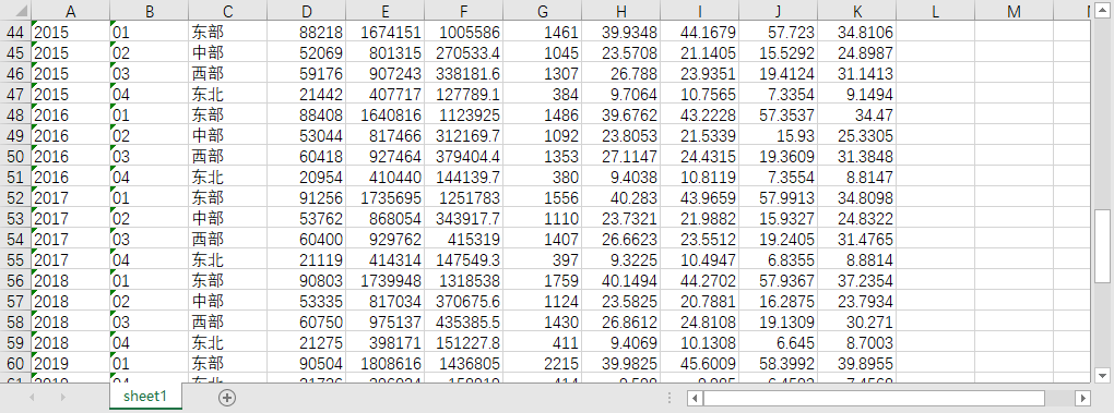
中国全国各地区银行业金融机构分布表(分地区)(年)2005-2023.zip
中国全国各地区银行业金融机构分布表(分省份)(年)2005-2023.zip
统计年度        地区代码        地区名称        机构分类代码        机构分类名称        营业网点机构个数        营业网点就业人数        营业网点资产总额        法人机构数目        每万人拥有的网点数(%)


中国全国各地区银行业金融机构基本信息表2018-20250411.zip
57w多明细记录
统计日期        机构编码        分支行名称        机构ID        总行名称        机构类型        机构地址        机构状态        经度(E)        纬度(N)        机构所在省        机构所在市/区        机构所在县        邮政编码        发证日期        批准成立日期        发证机关        证件流水号        失控原因        失控日期        退出日期


SgnDate [统计日期] - 该日期为更新此表信息的日期
InstituionCode [机构编码] -
BranchName [分支行名称] -
InstituionID [机构ID] - 希施玛机构ID,对应总行名称
HeadofficeName [总行名称] -
InstituionTypeID [机构类型] - 根据银监会分类。
5=政策性银行
59=国有控股大型商业银行
8=股份制商业银行
9=城市商业银行
10=农村商业银行
18=外资银行99=其他
11=农合行
13=农信社
52=农村资金互助社
30=贷款公司
14=村镇银行
55=民营银行
16=邮政储蓄银行
29=资产管理公司
22=信托公司
21=财务公司
24=金融租赁公司
26=汽车金融公司
27=货币经纪公司
28=消费金融公司
Address [机构地址] -
Status [机构状态] - 0-持有1-失控2-退出
Longitude [经度(E)] -
Latitude [纬度(N)] -
ProvinceName [机构所在省] -
CityName [机构所在市/区] -
CountyName [机构所在县] -
ZipCode [邮政编码] -
IssueDate [发证日期] - 监管部门对金融机构颁(换)发许可证的制证日期。
ApprovalDate [批准成立日期] - 监管部门批准该机构设立的日期,金融机构自此具有开展金融业务的一般资质,其他具体新增业务以监管部门的相关文件为准。
IssueInstitution [发证机关] -
SerialNumber [证件流水号] -
RunawayReason [失控原因] -
RunawayDate [失控日期] -
QuitDate [退出日期] -

31af1cabbc314154f19f6ef0339cebd.png


28c3b57e937dae88d9dd2c40c09d613.png

2f39e0e40114899519ad26db26bbc3a.png 77cf7e8ec673c4ca2e847bae51f368d.png


二维码

扫码加我 拉你入群

请注明:姓名-公司-职位

以便审核进群资格,未注明则拒绝

相关推荐
栏目导航
热门文章
推荐文章

说点什么

分享

扫码加好友,拉您进群
各岗位、行业、专业交流群