经管之家App
让优质教育人人可得
立即打开
全部版块
我的主页
›
论坛
›
提问 悬赏 求职 新闻 读书 功能一区
›
经管文库(原现金交易版)
2000-2024年审计报告激进度指标
楼主
清欢shine
199
0
收藏
2025-06-03
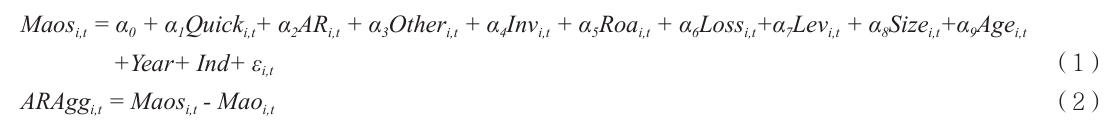
根据Gul等(2013)提出的审计报告激进性(ARAgg)方法进行测度,提供数据和stata代码:
Quick表示速动比率)、AR表示期末应收账款与总资产之比、Other表示期末其他应收款与总资产之比、Inv表示期末存货与总资产之比、ROA表示总资产收益率、Loss表示本年是否亏损,亏损取值为1,否则为0、Lev表示资产负债率、Size表示总资产的自然对数、Age表示上市年限。Mao即为审计师实际发表的审计意见。ARAgg越大,代表审计报告激进性越高,审计质量越低。
附件列表
2000-2024年审计激进度指标.zip
大小:3.38 MB
只需: RMB 27 元
马上下载
扫码加我 拉你入群
请注明:姓名-公司-职位
以便审核进群资格,未注明则拒绝
相关推荐
有关审计报告准则变化的电子书
CCB 09 一季度 英文版审计报告
湘财证券2008年审计报告
关于审计的两个疑问
经济责任审计报告格式
铁道部2010年审计报告
铁道部2009年审计报告
审计报告英文模板
专项审计报告
配送中心审计报告
栏目导航
经管文库(原现金交易版)
数据交流中心
经管高考
经管在职研
金融学(理论版)
世界经济与国际贸易
热门文章
奇瑞2025年出口汽车超134.4万辆 蝉联中国车 ...
展望2026:学术智能体即将崛起?
CDA数据分析师:以数据思维赋能企业管理,驱 ...
CDA全国考点信息一览(更新于2025年12月10日 ...
CDA Level III 认证考试大纲重磅更新并启用 ...
AI4S回归白盒符号主义,清华等联合发布SR-L ...
CDA数据分析脱产就业班于2025年12月08日开班 ...
【福利帖】元旦快乐
道氏理论大师杰作,股市技术分析领域的奠基 ...
python语法合集背记手册
推荐文章
上市公司审计质量/审计报告激进性指标计算Stata代码(附2000-2020年数据)
上市公司审计质量/审计报告激进性指标计算Stata代码(附2000-2021年数据)
【优化】上市公司审计质量/审计报告激进性指标计算Stata代码(附2000-2022年数据)
审计报告英文模板
【优化】上市公司审计质量/审计报告激进性指标计算Stata代码(附2000-2023年数据)
26年寒假天津站|Gemini论文写作&数据分析 ...
说点什么
分享
微信
QQ空间
QQ
微博
扫码加好友,拉您进群
各岗位、行业、专业交流群