全部版块 我的主页
论坛 提问 悬赏 求职 新闻 读书 功能一区 经管文库(原现金交易版)
404 0
2025-06-07


国际化进程

国际化范围、国际化速度和国际化节奏



计算说明



国际化范围(SCOPE)。本研究的国际化范围即企业当年所拥有的海外子公司覆盖的国家或者地区总数。(2024年数据不全,目前到2023年)
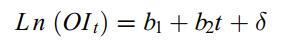
国际化速度(SPEED)。通过企业海外销售收入在一定时间内的平均增长率计算企业国际化速度。具体地,本研究在年度窗口期[t,t+4]内建立时间变量(t)与海外销售收入(OI)自然对数之间关系的线性回归模型,如公式(1)所示。最终,本研究以式(1)中回归系数b2的反自然对数衡量企业的国际化速度(Chen等,2016),该值越大,表明企业的国际化扩张速度越快。

QQ截图20250607173708.jpg


国际化节奏(RHYTHM)。通过企业海外销售收入增长率在一定时间内的变动情况计算企业国际化节奏。具体地,本研究以式(1)中回归系数b2的标准偏差的反自然对数衡量企业的国际化节奏(Chen等,2016),该值越大,表明企业的国际化扩张节奏越不连贯与规律。
(国际化速度和国际化节奏原始数据2000-2024年使用[t,t+4]区间数据,最后结果2000-2020年)

参考文献

[1]任鸽,陈伟宏,钟熙.高管国际经验,环境不确定性与企业国际化进程[J].外国经济与管理, 2019(9):13.

[2]林川,高福霞.外籍高管与国有企业国际化经营[J].软科学, 2021, 35(7):6.
[3]钟熙,宋铁波,陈伟宏,等.外资持股,期望落差与企业国际化进程[J].管理评论, 2021, 33(8):245-255,313.

数据说明

数据对象:全部A股

数据区间:包含两个版本:
1、剔除金融行业、剔除已退市公司样本、剔除ST、*ST或PT类公司样本
2、未筛选剔除样本

结果说明


国际化范围数据截图

QQ截图20250607221109.jpg

国际化范围各年数据量
QQ截图20250607221128.jpg

国际化范围描述性统计
QQ截图20250607221148.jpg

国际化速度和国际化节奏数据截图
QQ截图20250607221443.jpg

国际化速度和国际化节奏各年数据量
QQ截图20250607221407.jpg

国际化速度和国际化节奏描述性统计

QQ截图20250607221420.jpg


附件下载

QQ截图20250607221622.jpg




经管之家:momingiqmiao7

欢迎关注,分享更多实用的数据,独家发布,严禁转载获利,转载必究,有任何问题在可以帖子下方回复,及时回复

批量购买可享优惠


关注帖子索引2023年】【帖子索引2022年】【帖子索引2021年】【使用常见问题点击查看更多帖子】【Stata软件下载】【Stata免费学习资料









二维码

扫码加我 拉你入群

请注明:姓名-公司-职位

以便审核进群资格,未注明则拒绝

相关推荐
栏目导航
热门文章
推荐文章

说点什么

分享

扫码加好友,拉您进群
各岗位、行业、专业交流群