经管之家App
让优质教育人人可得
立即打开
全部版块
我的主页
›
论坛
›
提问 悬赏 求职 新闻 读书 功能一区
›
悬赏大厅
伊藤引理的应用
楼主
wjeq
1384
0
收藏
2025-07-18
悬赏
1
个论坛币
未解决
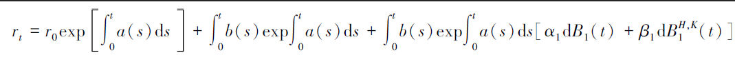
希望有高手看一下,作者是怎么用伊藤引理得到最后公式的,谢谢
扫码加我 拉你入群
请注明:姓名-公司-职位
以便审核进群资格,未注明则拒绝
相关推荐
多维伊藤定理的应用问题
栏目导航
悬赏大厅
经管文库(原现金交易版)
行业分析报告
CFA、CVA、FRM等金融考证论坛
站务与外事
金融学(理论版)
热门文章
中国企业高质量发展展望穿越周期与聚力创新
中国企业高质量发展展望穿越周期与聚力创新
《那年2003:我双手插兜,搞钱不知什么叫对 ...
求文献“Using Survey Information for Imp ...
在概率与代码之间:Agent Skills 是 AI 的枷 ...
CDA数据分析脱产就业班于2026年3月7日开班! ...
参数估计:CDA数据分析师的核心推断工具,用 ...
通用指标与场景指标:CDA数据分析师的核心分 ...
GeoSaaS永久会员版
全国国土利用现状、耕地、园地、林地分布等 ...
推荐文章
多维伊藤定理的应用问题
2026JG学术冬训营:从Stata初高到Python机器 ...
【必看】【本版版规,欢迎发悬赏贴求助】
【新课】26年3月|Gemini辅助论文写作与数据 ...
关于如何利用文献的若干建议
说点什么
分享
微信
QQ空间
QQ
微博
扫码加好友,拉您进群
各岗位、行业、专业交流群