全部版块 我的主页
论坛 提问 悬赏 求职 新闻 读书 功能一区 经管文库(原现金交易版)
293 0
2025-08-24

30省省级-农业绿色全要素生产率2011-2022年



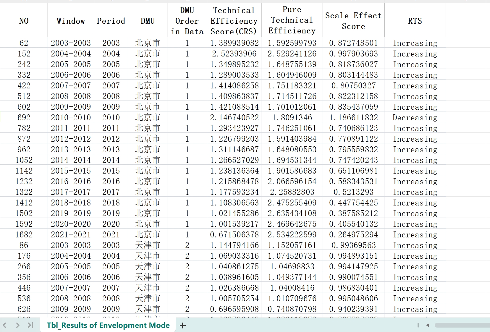
本数据有超效率SBM投入导向VRS、非期望产出SBM投入导向。分为Technical Efficiency Score(CRS) 、Pure Technical EfficiencyScore(VRS) 和Scale Effect Score,具体见图



数据名称:省级-农业绿色全要素生产率

数据年份:2011-2022年

相关数据:代码、地区、年份、AGTFP(农业绿色全要素生产率)。


PS:只有图片展示的,无西藏,无原始数据


1.png 2.png 3.png

附件列表
二维码

扫码加我 拉你入群

请注明:姓名-公司-职位

以便审核进群资格,未注明则拒绝

相关推荐
栏目导航
热门文章
推荐文章

说点什么

分享

扫码加好友,拉您进群
各岗位、行业、专业交流群