全部版块 我的主页
论坛 会计与财务管理论坛 七区 税收筹划
216 0
2025-12-01

出口退税率作为出口退税制度中的核心参数之一,反映了国家对出口企业实施的税收优惠力度。它是指在货物完成报关出口后,针对其在国内环节已缴纳的税款,按照一定比例退还给出口企业,该比例即为退税金额与计税价格之间的比率。通过这一政策,能够有效降低企业的出口成本,增强我国产品在国际市场的竞争能力。

同时,根据宏观经济走势以及国际贸易环境的变化,国家会动态调整不同商品类别的出口退税率,以更好地配合整体经济发展战略和产业导向。例如,对于鼓励出口的高附加值或节能环保类产品,可能给予较高的退税率;而对于资源消耗型或需限制出口的产品,则可能调低甚至取消退税。

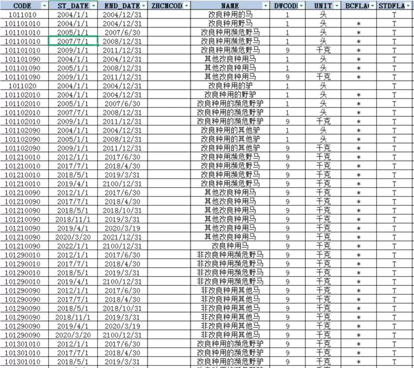
本数据集涵盖的时间范围为2004年至2024年,全面记录了在此期间内各类商品基于HS编码所对应的出口退税率信息,具有较强的连续性和参考价值。数据名称为:2024年HS编码出口退税率数据。

数据包含的主要字段如下:

  • CODE:商品代码
  • ST_DATE:生效起始日期
  • END_DATE:生效截止日期
  • ZHCMCODE:中文商品码
  • NAME:商品名称
  • DWCODE:计量单位代码
  • UNIT:计量单位
  • BCFLAG:补差标志
  • STDFLAG:标准标志
  • DWFLAG:单位标志
  • SZ:税率数值
  • ZSSL_SET:增值税率设置
  • CLDE:出口退税率等级
  • CJDL:初级大类
  • TSL:商品数量描述
  • SPLB:商品类别
  • TSFLAG:特殊标志
  • NOTE:备注信息

上述字段共同构成了完整的出口退税率数据库结构,可用于进出口贸易分析、政策研究、企业成本核算等多个领域。

二维码

扫码加我 拉你入群

请注明:姓名-公司-职位

以便审核进群资格,未注明则拒绝

相关推荐
栏目导航
热门文章
推荐文章

说点什么

分享

扫码加好友,拉您进群
各岗位、行业、专业交流群