全部版块 我的主页
论坛 提问 悬赏 求职 新闻 读书 功能一区 经管文库(原现金交易版)
351 0
2025-12-03

A股上市公司层面企业供应链韧性熵权法测算的原始数据、计算脚本与结果集(2010—2024年)



一、数据背景

供应链韧性已成为企业在复杂环境中维持稳定经营与持续竞争力的重要能力。面对疫情冲击、全球供应链重构、产业链安全要求提升等背景,企业抵御风险、快速恢复以及持续运营的能力愈发关键。学界在供应链韧性测度方面逐渐形成结构化框架,其中预测能力、抵抗能力、恢复能力、人力资本以及政府支持力量等维度是常用的核心要素。

本数据参考姚正海等(2025)的研究框架,依托上市公司年报披露信息,从五大维度构建供应链韧性指标体系,并使用熵权法获得权重,对A股上市公司2010—2024年供应链韧性进行逐年测算。数据同步提供原始数据、可复现的dofile脚本以及最终测算结果,便于研究人员直接进行二次开发或方法复核。


二、数据介绍

数据名称: 上市公司供应链韧性数据(原始数据 + dofile + 测算结果)

数据范围: A股上市公司

时间范围: 2010—2024年

样本数量: 56,675条(上市公司 × 年份 面板结构)、Excel+Stata格式

数据来源: 上市公司年度报告、企业公开财务与经营资料

整理说明: 基于公开披露数据进行结构化采集、整理,并按熵权法构建供应链韧性

内容包含:

  • 原始财务与经营数据

  • 供应链韧性构建所需的指标体系

  • 计算dofile(Stata)

  • 熵权法测算结果(包含各维度得分与总得分)





三、数据指标说明

数据集包含供应链韧性测度、财务指标、供应商-客户结构等多维变量,包括以下内容:

指标类别

指标字段

基础信息

ID、年份、股票代码、股票简称、行业名称、行业代码、上市状态

地理属性

省份、城市、城市代码

财务指标

总资产、总负债、营业收入、固定资产原值、累计折旧、所有者权益、股东权益、净利润、流动比率、资产减值准备、销售费用

经营结构

员工人数、应收账款、存货

供应链特征

前五大供应商采购额、前五大客户销售额、供应链集中度

数字化指标

数字化转型指标

韧性指标(熵权法测算)

供应链韧性总指数、适应能力、抵抗能力、恢复能力、人力资本、政府力量





四、参考文献

[1] 姚正海, 李昊泽, 姚佩怡. ESG表现对企业供应链韧性的影响[J]. 首都经济贸易大学学报, 2025, 27(02): 95–112.


五、数据概览

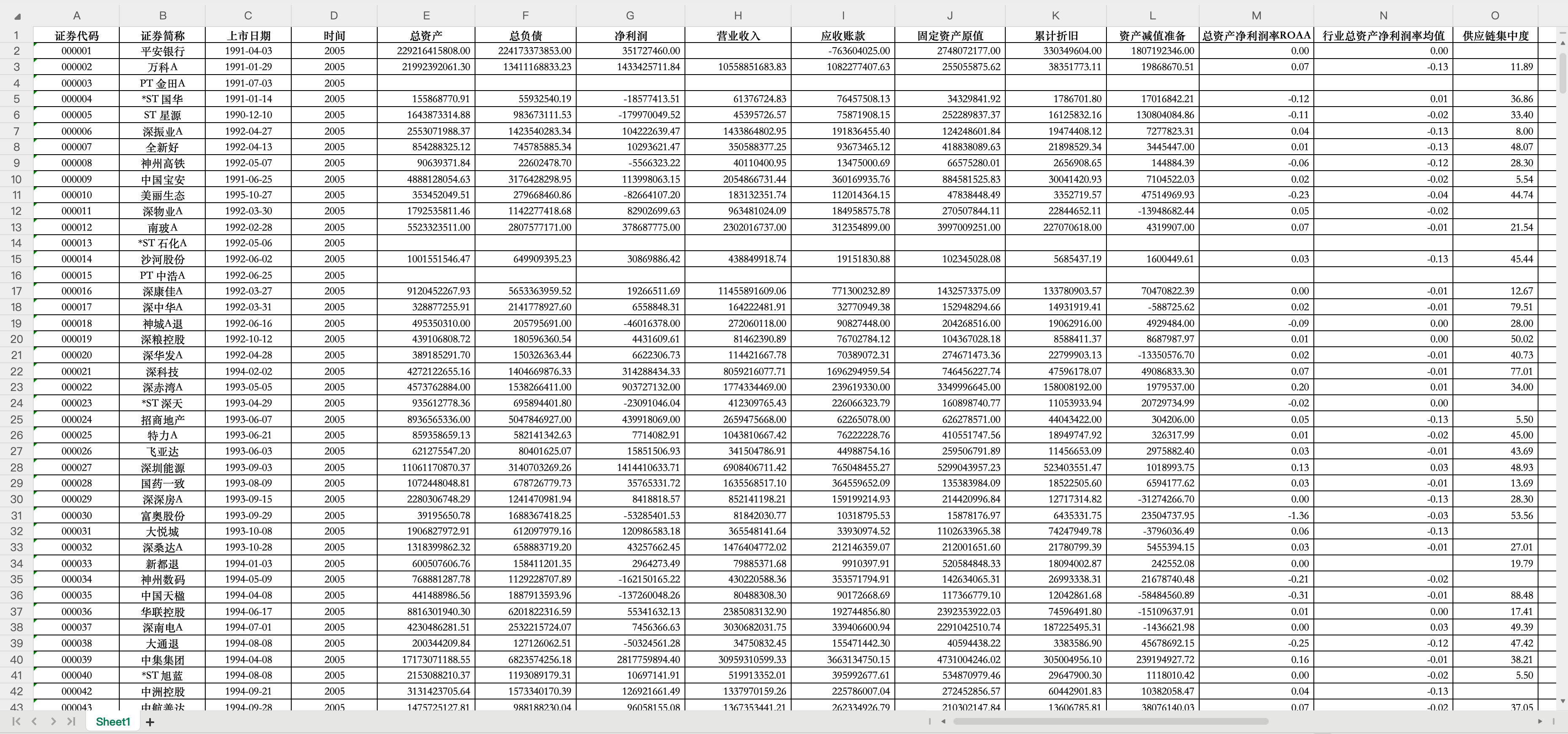
原始数据部分概览

WechatIMG5296.jpg

WechatIMG5293.jpg

计算代码

WechatIMG5294.jpg

测算结果

WechatIMG5297.jpg

WechatIMG5295.jpg



二维码

扫码加我 拉你入群

请注明:姓名-公司-职位

以便审核进群资格,未注明则拒绝

相关推荐
栏目导航
热门文章
推荐文章

说点什么

分享

扫码加好友,拉您进群
各岗位、行业、专业交流群