第一章 函数
幂函数
幂函数的一般表达式为:
y = xμ(其中 μ ∈ )
其常见的运算性质包括:
- y = x1/n = √[n]{x}
- y = xn = 1 / xn
- y = xn xm = xn+m
- y = (xn)m = xmn
以下是一些典型的幂函数及其图像表现:
- y = x
- y = x
- y = √x
- y = x
- y = x
- y = 1/x
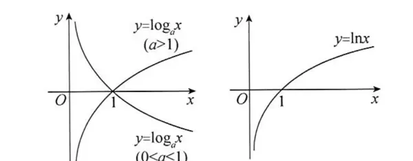
对数函数
对数函数的标准形式为:
y = logax(其中 a > 0 且 a ≠ 1)
定义域与值域:
定义域为 (0, +∞),值域为 (∞, +∞)
单调性分析:
- 当 a > 1 时,函数 y = logax 单调递增。
- 当 0 < a < 1 时,函数 y = logax 单调递减。
典型对数函数的图像如下所示:
- 函数 y = logax(a > 1)呈现单调递增趋势,而 y = logax(0 < a < 1)则单调递减,两条曲线均经过点 (1, 0)。
- 自然对数函数 y = lnx 是单调递增的,且通过点 (1, 0)。
极限特性:
当 x 趋向正无穷时,lnx → +∞;
当 x 从右侧趋近于 0 时,lnx → ∞。
即:
limx→+∞ lnx = +∞,
limx→0 lnx = ∞
特殊取值:
loga1 = 0,
logaa = 1,
ln1 = 0,
lne = 1
常用恒等式:
- x = elnx(适用于 x > 0)
- uv = evlnu(适用于 u > 0)
三角函数
正弦函数与余弦函数
基本形式为:
y = sinx,y = cosx
定义域和值域:
定义域:(∞, +∞)
值域:[1, 1]
奇偶性特征:
- 正弦函数 y = sinx 在对称区间上是奇函数。
- 余弦函数 y = cosx 在对称区间上是偶函数。
常见三角函数图像展示如下:
- y = sinx 的图像是周期为 2π 的波形,经过原点 (0, 0),最大值和最小值分别为 ±1。
- y = cosx 同样具有 2π 周期,图像经过点 (0, 1),极值也为 ±1。
基本恒等式 —— 平方关系:
sinx + cosx = 1
在三角函数的恒等变换中,掌握基本公式是解决各类问题的关键。以下是对常用公式的整理与说明,内容包括二倍角、降幂、诱导、和角以及和差化积等相关公式,并对表达顺序进行了合理调整,以增强逻辑连贯性。
一、和角公式
和角与差角公式是三角恒等变形的基础,常用于展开或合并三角表达式:
sin(α + β) = sinα cosβ + cosα sinβ
sin(α β) = sinα cosβ cosα sinβ
cos(α + β) = cosα cosβ sinα sinβ
cos(α β) = cosα cosβ + sinα sinβ
二、二倍角公式
由和角公式可推导出二倍角形式,适用于角度加倍的情形:
sin2x = 2sinx cosx
cos2x = cosx sinx = 1 2sinx = 2cosx 1
三、降幂公式
将平方项转化为一次三角函数的形式,便于积分或化简:
sinx = (1 cos2x)/2
cosx = (1 + cos2x)/2
四、诱导公式
口诀:“奇变偶不变,符号看象限”。
对于 sin(kπ/2 + x) 的处理:
- 当 k 为偶数时,结果为 ±sinx;
- 当 k 为奇数时,结果为 ±cosx。
其中,正负号取决于将 x 视为锐角时,sin(kπ/2 + x) 所在象限的符号。
示例:
sin(π x) = sinx
sin(π + x) = sinx
sin(π/2 ± x) = cosx
对于 cos(kπ/2 + x) 的处理:
- 当 k 为偶数时,结果为 ±cosx;
- 当 k 为奇数时,结果为 ±sinx。
同样,± 号由 x 作为锐角时代入后,cos(kπ/2 + x) 的实际符号决定。
示例:
cos(π ± x) = cosx
cos(π/2 + x) = sinx
cos(π/2 x) = sinx
五、和差化积
将两个三角函数的和或差转化为乘积形式,有助于进一步简化运算(此处未列出具体公式,但其本质基于上述和角关系进行逆向推导)。
以下是三角函数中常见的和差化积与积化和差公式,以及正切、余切函数的基本性质整理。
一、和差化积公式
将两个三角函数的和或差转化为乘积形式,有助于简化运算:
- \(\sin\alpha + \sin\beta = 2\sin\left(\frac{\alpha + \beta}{2}\right)\cos\left(\frac{\alpha - \beta}{2}\right)\)
- \(\sin\alpha - \sin\beta = 2\cos\left(\frac{\alpha + \beta}{2}\right)\sin\left(\frac{\alpha - \beta}{2}\right)\)
- \(\cos\alpha + \cos\beta = 2\cos\left(\frac{\alpha + \beta}{2}\right)\cos\left(\frac{\alpha - \beta}{2}\right)\)
- \(\cos\alpha - \cos\beta = -2\sin\left(\frac{\alpha + \beta}{2}\right)\sin\left(\frac{\alpha - \beta}{2}\right)\)
二、积化和差公式
将两个三角函数的乘积转化为和或差的形式,常用于积分与恒等变换:
- \(\sin\alpha\cos\beta = \frac{1}{2}[\sin(\alpha + \beta) + \sin(\alpha - \beta)]\)
- \(\cos\alpha\sin\beta = \frac{1}{2}[\sin(\alpha + \beta) - \sin(\alpha - \beta)]\)
- \(\cos\alpha\cos\beta = \frac{1}{2}[\cos(\alpha + \beta) + \cos(\alpha - \beta)]\)
- \(\sin\alpha\sin\beta = -\frac{1}{2}[\cos(\alpha + \beta) - \cos(\alpha - \beta)]\)
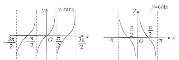
三、正切函数与余切函数的基本性质
1. 一般表达式:
\(y = \tan x\),\(y = \cot x\)
2. 定义域:
- 对于 \(y = \tan x\),定义域为:\(x \neq k\pi + \frac{\pi}{2},\ k \in \mathbb{Z}\)
- 对于 \(y = \cot x\),定义域为:\(x \neq k\pi,\ k \in \mathbb{Z}\)
3. 值域:
两者值域均为 \((-\infty, +\infty)\)。
4. 奇偶性:
在各自对称的定义区间内,\(y = \tan x\) 与 \(y = \cot x\) 均为奇函数。
5. 图像特征:
正切函数图像具有周期性,周期为 \(\pi\),以直线 \(x = k\pi + \frac{\pi}{2}\) 为垂直渐近线,并经过原点。

函数 y = cot x 的图像具有周期性,其基本周期为 π。该函数以直线 x = kπ(k 为整数)作为垂直渐近线,在每个区间 (kπ, (k+1)π) 内连续且单调递减。由于余切函数是正切函数的倒数,因此在正切为零的位置出现无穷间断点。
在三角恒等变换中,常用的平方关系式包括:
tanx + 1 = secx,以及 cotx + 1 = cscx
这两个公式分别由正弦与余弦的基本恒等式推导而来,广泛应用于积分、微分及表达式化简过程中。
关于倍角的运算,存在如下恒等式:
tan(2x) = (2 tan x) / (1 - tanx),
cot(2x) = (cotx - 1) / (2 cot x)
这些公式可用于将双倍角度的三角函数表示为单角函数的形式,便于计算和分析。
对于两个角度之和或差的正切,适用以下和角公式:
tan(α ± β) = (tan α ± tan β) / (1 tan α tan β)
这一公式在解决复合角问题时非常关键,尤其在物理和工程中的波动分析中有广泛应用。
反三角函数部分
反三角函数是对基本三角函数进行反函数定义的结果,主要用于求解已知比值对应的角度。
1. 反正弦与反余弦函数
它们的一般形式为:y = arcsin x 和 y = arccos x。
这两个函数的定义域均为闭区间 [-1, 1],而值域有所不同:
- arcsin x 的值域为 [-π/2, π/2]
- arccos x 的值域为 [0, π]
从对称性来看,y = arcsin x 是一个奇函数,即满足 arcsin(-x) = -arcsin(x),在整个定义域内呈现中心对称特性。
此外,arcsin x 与 arccos x 均为有界函数,其输出值不会超出各自指定的范围。
一个重要且常用的关系式为:
arcsin x + arccos x = π/2
这表明对于任意 x ∈ [-1, 1],反正弦与反余弦的和恒等于 π/2。
图像特征方面:
y = arcsin x 的曲线经过原点,定义域为 [-1, 1],值域为 [-π/2, π/2],整体呈单调上升趋势。
y = arccos x 则从点 (-1, π) 下降到 (1, 0),同样定义在 [-1, 1] 上,值域为 [0, π],单调递减。
2. 反正切与反余切函数
其标准表达式为:y = arctan x 与 y = arccot x。
这两者的定义域均为全体实数,即 (-∞, +∞)。
对应的值域分别为:
- arctan x ∈ (-π/2, π/2)
- arccot x ∈ (0, π)
其中,y = arctan x 是定义域内的奇函数,满足 arctan(-x) = -arctan(x),图像关于原点对称。
两个函数都具有有界性,尽管输入可以趋向无穷大,但输出始终被限制在有限区间内。
一个重要的恒等关系为:
arctan x + arccot x = π/2
此式说明,对于任意实数 x,反正切与反余切的函数值之和恒为 π/2。
常见三角函数值表格:
| x |
0 |
π/6 |
π/4 |
π/3 |
π/2 |
| sin x |
0 |
1/2 |
√2/2 |
√3/2 |
1 |
| cos x |
1 |
√3/2 |
√2/2 |
1/2 |
0 |
| tan x |
0 |
√3/3 |
1 |
√3 |
不存在 |
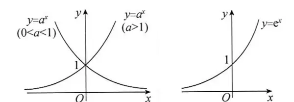
指数函数的基本形式为:y = ax,其中 a > 0 且 a ≠ 1。
定义域与值域:
定义域为 (∞, +∞),值域为 (0, +∞)。
单调性特征:
当 a > 1 时,函数 y = ax 单调递增;
当 0 < a < 1 时,函数 y = ax 单调递减。
常见函数图像:

- y = ax(0 < a < 1):图像位于第一象限,随着 x 的增大而逐渐减小。
- y = ax(a > 1):图像位于第一象限,随 x 增大而上升。
- y = ex:自然指数函数,图像在第一象限,x 增大时增长迅速。
极限行为:
当 x → +∞ 时,limx→+∞ ex = +∞;
当 x → ∞ 时,limx→∞ ex = 0。
特殊函数值:
a = 1,e = 1。
反三角函数的重要恒等式:
arctan x ± arctan y = arctan((x ± y)/(1 xy))
常见反三角函数图像及性质:
y = arctan x 的图像经过原点,定义域为 (∞, +∞),值域为 (π/2, π/2)。
y = arccot x 的定义域为 (∞, +∞),值域为 (0, π)。

极限特性:
limx→+∞ arctan x = π/2,
limx→∞ arctan x = π/2。