经管之家App
让优质教育人人可得
立即打开
全部版块
我的主页
›
论坛
›
数据科学与人工智能
›
数据分析与数据科学
›
MATLAB等数学软件专版
kernel密度估计怎样不出现负数
楼主
ty1980
4774
1
收藏
2013-01-04
悬赏
20
个论坛币
未解决
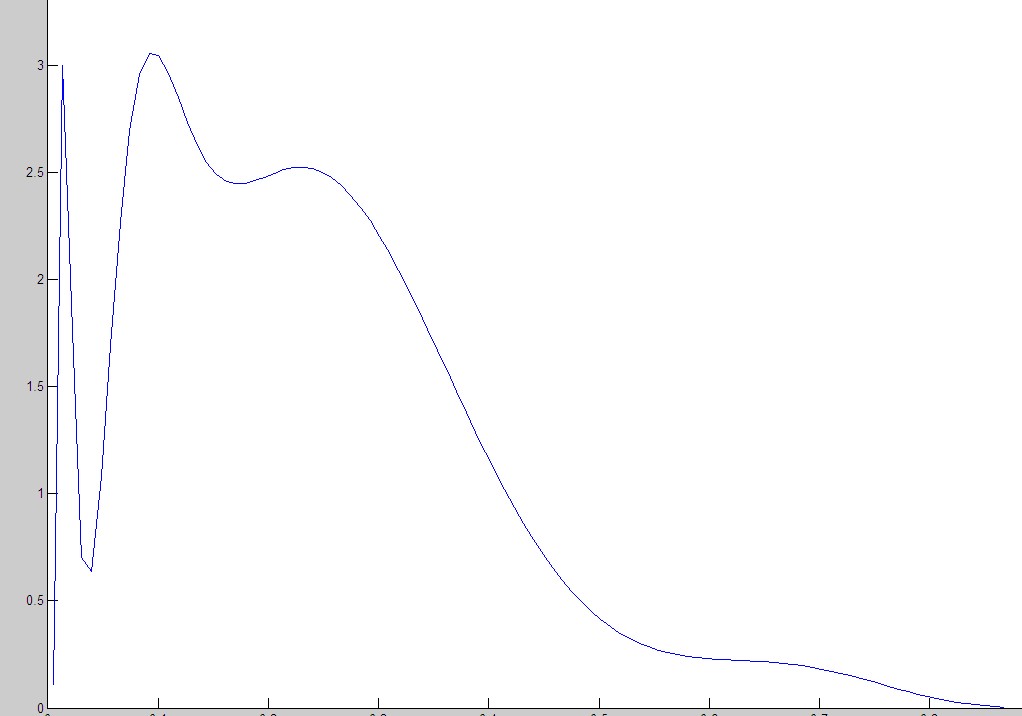
我用matlab做kernel密度估计,用的指令是ksdensity(x),但是会出现负数,如下面图1,取值可以取到-0.2,这是不合理的。但是是用命令ksdensity(x,'support',[0 1])做,是从零开始取值(如图2),但曲线怪异,不像图1那么好看,怎么解决?
扫码加我 拉你入群
请注明:姓名-公司-职位
以便审核进群资格,未注明则拒绝
全部回复
沙发
快乐早餐
2013-1-5 09:30:26
貌似是x可以是负数嘛,这个很正常吧,取决于你x的值啊,但是f(x)不是负数就可以了啊
扫码加我 拉你入群
请注明:姓名-公司-职位
以便审核进群资格,未注明则拒绝
相关推荐
请教:如何做kernel density 估计的等高线(contour)图?
如何画 kernel density ?
[求助]kernel density
求助:关于ksdensity函数
ksdensity函数
求助啊
【3000币】如何在stata中实现将多个变量的核密度(kernel density)曲线图画在同一图
kernel density plots stata
ksdensity作图问题
图中反映的现象应如何解释我的假设
栏目导航
MATLAB等数学软件专版
金融学(理论版)
商学院
创新与战略管理
真实世界经济学(含财经时事)
stata专版
热门文章
北大地震老师讲股票第二讲ppt课件
别再手工做科研了!手把手教你养「学术龙虾 ...
当 DID 遇上 AI 智能体:你的实证研究,正在 ...
CDA 认证考试大纲 2025 重磅更新:一二级考 ...
关于具身智能「触觉」,你想知道的都在这篇 ...
CDA数据分析脱产就业班在2026年3月7日开班了 ...
方法为桥,专业为径:CDA数据分析师玩转六种 ...
2026全球数智营销生态手册
产业赛道与主题投资风向标:AI时代“词元经 ...
【热点推荐!】2000-2024我国省级农产品出口 ...
推荐文章
关于学术研究和论文发表的一些建议
几种免费下载文献的方法----我的文献应助经
五一充电,学术突围!三大AI赋能王牌课程, ...
【必看】【本版版规,欢迎发悬赏贴求助】
【新课】26年3月|Gemini辅助论文写作与数据 ...
关于如何利用文献的若干建议
关于科研中如何学习基础知识的一些建议 (一 ...
一个自编的经济学建模小案例 --写给授课本科 ...
AI智能体赋能教学改革: 全国AI教育教学应用 ...
2025中国AIoT产业全景图谱报告-406页
说点什么
分享
微信
QQ空间
QQ
微博
扫码加好友,拉您进群
各岗位、行业、专业交流群