经管之家App
让优质教育人人可得
立即打开
全部版块
我的主页
›
论坛
›
计量经济学与统计论坛 五区
›
计量经济学与统计软件
时间序列平均系数
楼主
wty666
733
1
收藏
2018-08-05
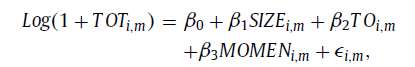
最近看到一篇文章中提到time-series average coefficients不明白什么意思,图片是模型和回归结果,这结果怎么得到的呢?
扫码加我 拉你入群
请注明:姓名-公司-职位
以便审核进群资格,未注明则拒绝
全部回复
沙发
RICHARDSXH
2018-8-5 11:33:27
学习 谢谢分享
扫码加我 拉你入群
请注明:姓名-公司-职位
以便审核进群资格,未注明则拒绝
相关推荐
[讨论]此回归结果的阐述问题
关于一个回归结果的问题,急!!!
同样的数据,同样的方法,不同时间回归结果不一致
关于总体样本与子样本回归结果的理解
请帮忙看看回归结果
求助高手帮我分析回归结果,谢谢!
回归结果导出
请大虾门帮忙看看这个回归结果
从回归结果中提取t统计量
时间序列平均系数
栏目导航
计量经济学与统计软件
stata专版
行业分析报告
经管文库
文献求助专区
数据交流中心
热门文章
CDA数据分析师必备核心技能:数据查询语言( ...
CDA数据分析师:精通标签加工方式,解锁数据 ...
新宏观丨豆包,新宏观主义对传统经济学的兼 ...
中国城市低空经济高质量发展指数(2026)
《通胀的教训:两千年货币危机的十四条经济 ...
一文看懂产业链:存储芯片本轮涨价能走多远 ...
告别AI模型选择困难症:一次性学会DeepSeek ...
CDA 认证考试大纲 2025 重磅更新:一二级考 ...
SIGMOD 2025 | 重磅研究:多变量时间序列相 ...
CDA数据分析脱产就业班于2026年3月7日开班! ...
推荐文章
2026JG学术冬训营:从Stata初高到Python机器 ...
【必看】【本版版规,欢迎发悬赏贴求助】
【新课】26年3月|Gemini辅助论文写作与数据 ...
关于如何利用文献的若干建议
关于学术研究和论文发表的一些建议
关于科研中如何学习基础知识的一些建议 (一 ...
一个自编的经济学建模小案例 --写给授课本科 ...
AI智能体赋能教学改革: 全国AI教育教学应用 ...
2025中国AIoT产业全景图谱报告-406页
关于文献求助的一些建议
说点什么
分享
微信
QQ空间
QQ
微博
扫码加好友,拉您进群
各岗位、行业、专业交流群