
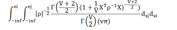
假定这个二重积分的值,要求解积分上限,公式中的v=5.2823,ρ=[1 0.9774;0.9774 1], ej=0.5840, X=[xi;xj]
我利用interal2和fzero函数会出现报错,大家可以帮我看一错在哪了吗?
v=5.2823
p=[1 0.9774;0.9774 1]
X=[xi;xj]
syms xi xj ei
f=@(xj,xi) ((det(p)^(-0.5))*gamma((v+2)/2)*(1+(1/v)*X’*inv(p)*X)^(-(v+2)/2) )/(gamma(v/2)*v*pi)
[ei,fval,exitflag] = fzero(@(ei)integral2(f,-Inf, 0.5840, -Inf, ei) - 0.95,-1e3)
会出现报错:
错误使用 fzero (line 306)
FZERO 无法继续,因为用户提供的 function_handle ==> @(ei)integral2(f,-Inf,0.5840,-Inf,ei)-0.95 失败,出现下面的错误。
输入函数必须返回 'double' 或 'single' 值。找到 'sym'。