A Comparative study of unit roottests with panel data and a new simple test(3)
G. S. Maddala and Shaowen Wu
(H. D. Thoreau: Walden)
A Comparative study of unit root tests withpanel data and a new simple test --3
1, The Levin ±Lin (LL) Tests
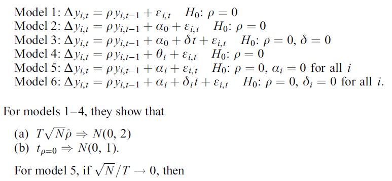
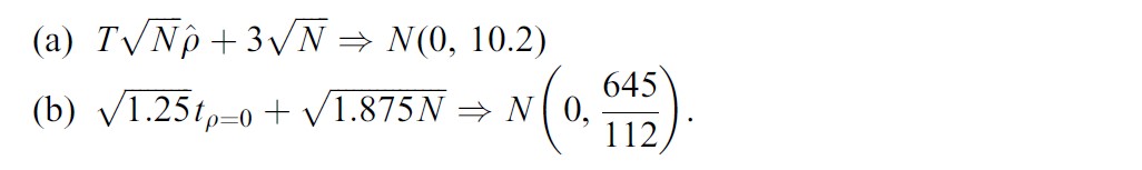
2, Levin and Lin (1992) conduct an exhaustivestudy and develop unit root tests for the model

Thus, themodel incorporates a time trend as well as individual and time-specificeffects.
1) Initially, they assume that
2) butthey state that under serial correlation, with the inclusion of lagged firstdifferences as in the ADF test, the test statistics have the same limitingdistributions as mentioned subsequently, provided the number of laggeddifferences increase with sample size.
3) Levin and Lin consider several subcases ofthis model. In all cases the limiting distributions are as
4) Also inall cases, the equation is estimated by OLS asa pooled regression model.
The submodels are:


In model 6, both intercept and time trend varywith individuals.