经管之家App
让优质教育人人可得
立即打开
全部版块
我的主页
›
论坛
›
提问 悬赏 求职 新闻 读书 功能一区
›
学道会
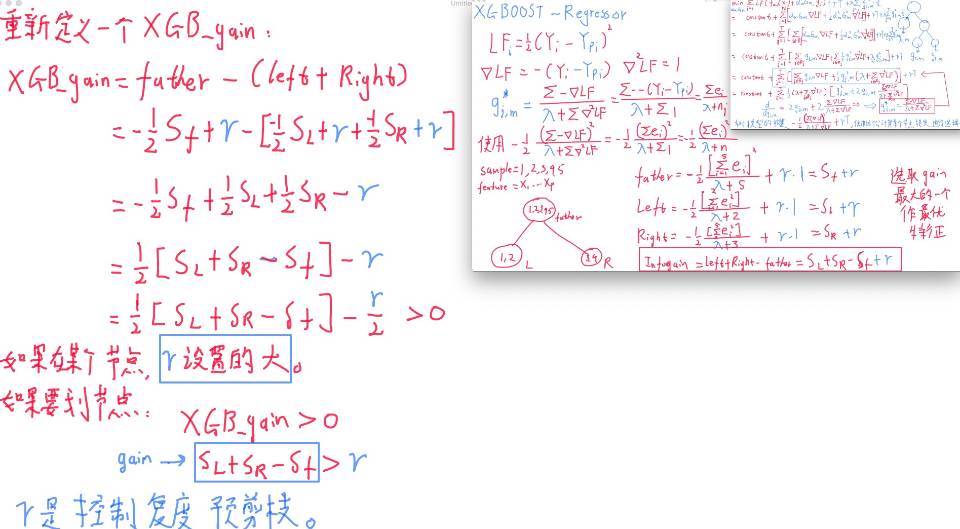
1618_1596338452_2020-10-11 22:09:45_【学习笔记】
楼主
1618_1596338452
499
2
收藏
2020-10-11
扫码加我 拉你入群
请注明:姓名-公司-职位
以便审核进群资格,未注明则拒绝
全部回复
沙发
512661101
2020-10-11 23:52:42
赞
扫码加我 拉你入群
请注明:姓名-公司-职位
以便审核进群资格,未注明则拒绝
藤椅
三重虫
2020-10-12 11:35:49
扫码加我 拉你入群
请注明:姓名-公司-职位
以便审核进群资格,未注明则拒绝
栏目导航
学道会
爱问频道
行业分析报告
新手入门区
stata专版
经管文库
热门文章
CDA数据分析师必备:数据分类实操指南,让数 ...
xthreg2下载
2026中国房地产市场展望
新宏观丨豆包,终结掠夺霸权迈向大同世界!
《中国氢能发展报告(2025)》相关情况
Thinking with Data by Max Shron
2000-2024年上市公司内部控制指数评级及内部 ...
芜宣机场交出亮眼成绩单 货邮吞吐量增速达8 ...
2026,你的DID还停留在“两期×双向固定效应 ...
OpenClaw:自主Agent的五个场景及未来五个纬 ...
推荐文章
2026 科研 AI 工具天花板!Gemini /GPT/ De ...
【必看】【本版版规,欢迎发悬赏贴求助】
【新课】26年3月|Gemini辅助论文写作与数据 ...
关于如何利用文献的若干建议
关于学术研究和论文发表的一些建议
关于科研中如何学习基础知识的一些建议 (一 ...
一个自编的经济学建模小案例 --写给授课本科 ...
AI智能体赋能教学改革: 全国AI教育教学应用 ...
2025中国AIoT产业全景图谱报告-406页
关于文献求助的一些建议
说点什么
分享
微信
QQ空间
QQ
微博
扫码加好友,拉您进群
各岗位、行业、专业交流群