全部版块 我的主页
论坛 提问 悬赏 求职 新闻 读书 功能一区 经管文库(原现金交易版)
414 0
2025-01-22
基于2012年至2024年各地级市行政人员加班数据,可以开展以下研究:行政效率分析:对比不同地级市行政人员的加班情况,评估ZF行政效率。工作压力与满意度研究:分析加班对行政人员工作压力和满意度的影响,提出改善建议。政策效果评估:结合ZF政策变化,研究加班数据的变化趋势,评估政策对行政工作的影响。这些研究有助于深入了解ZF工作状态,优化管理策略。


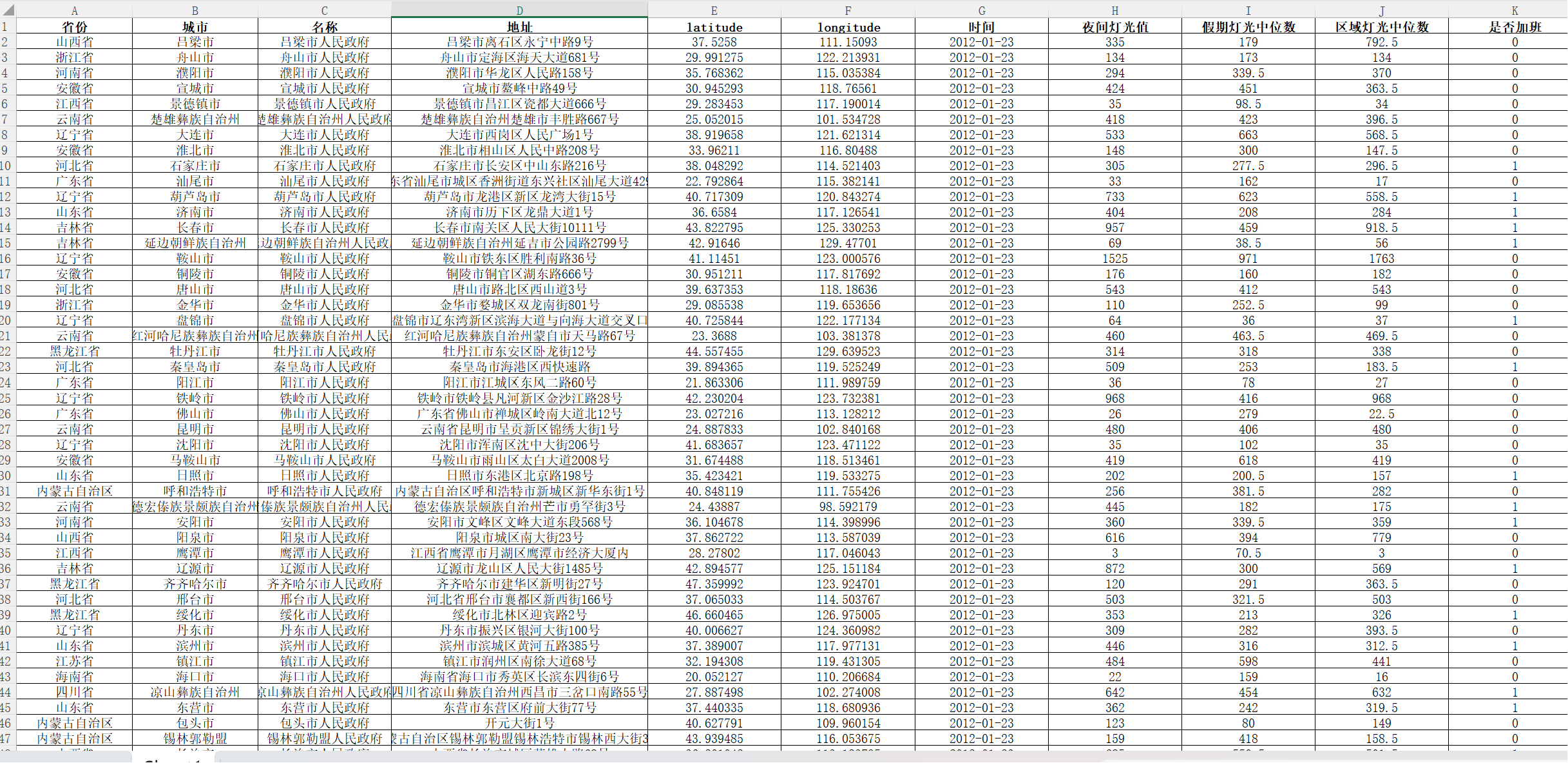
数据名称:各地级市行政人员加班数据可衡量行政效率等12-24年ZF加班数据

本分享数据基于NASA日度夜间灯光数据,进行数据清理后,通过地图获取ZF定位从而提取精确的数据,然后采用时间、空间等多维度比较,最终构建出ZF超时加班指标
数据范围:地级市2012-2024年
灯光来源:NASA
数据指标:
省份     城市     名称   地址     latitude     longitude   时间     夜间灯光值     假期灯光中位数   区域灯光中位数     是否加班     
参考文献:
宣扬, 武凯文. 超时加班与劳动收入份额:基于卫星夜间灯光的经验证据[J]. 世界经济, 2023, 46(10): 217-240.
测算方式:
1. 从NASA下载经过校正的VNP46A2日度夜间灯光数据,解析HDF5格式文件,获取数据量约4T的500米分辨率的夜间灯光数据
2. 剔除因云层、极端事件等导致的数据异常,确保对照网格数量充足,并剔除观测不足的记录
3. 通过百度地图获取全部ZF地址,再根据高德API匹配经纬度,并进行地址纠偏得出ZF的经纬度数据
4. 将ZF所在网格在法定节假日的灯光亮度的中位数作为基准,若某日亮度超过基准,可能表明夜间加班
5. 将ZF周边网格的灯光亮度的中位数作为基准,若某日亮度超过周边网格,可能表明夜间加班
6. 同时满足时间和空间维度标准时,认定为超时加班,1为加班,0为不加班


1.png



二维码

扫码加我 拉你入群

请注明:姓名-公司-职位

以便审核进群资格,未注明则拒绝

相关推荐
栏目导航
热门文章
推荐文章

说点什么

分享

扫码加好友,拉您进群
各岗位、行业、专业交流群