数据介绍:
- 年份:2000-2024
- 范围:A股上市公司
- 三个版本:有效、相对有效价差(剔除金融STPT版)、有效、相对有效价差(剔除金融STPT缩尾版)、有效、相对有效价差(未剔除金融STPT版)
- 文件格式:Dta格式(使用Stata打开)、Xlsx格式(使用Excel打开)
- 注:提供了剔除所需数据和剔除代码,若无需做该项剔除处理,自行删除相关代码重新运行即可
- 行业参照证监会2012年行业分类标准,制造业用二级行业分类,其他用一级分类来计算并对连续型变量进行了1%和99%分位数的缩尾处理
- 代码格式:do文件(Stata 14/15/16/17/18)
计算说明:
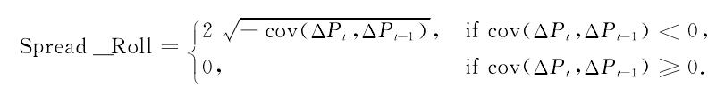
Roll提供了一种使用日间数据计算买卖价差的简单方法,具体思路为:假定股票的真实价值服从随机游走过程,那么观察到的收盘价将等于真实值加上或减去半有效价差,在收盘价由买方或卖方发起的概率各占一半的情况下,观察到的股票价格的自相关系数应当是负的,因此可以得到买卖价差的估计值。最后的公式为:

上式中为价格变化时计算得到的价差仅为有效价差,还不是相对有效价差,因而还需要进行相应的调薯。当式中的价格变化变为收益率时,计算得到的价差就是相对有效价差,我们称之为Roll价差指标。
由于在计算有效价差和相对有效价差时,计算得到的收益率的自协方差经常为正值,为避免这一情况的出现,我们还需要对此进行相应的调整,将自协方差为正的值定为0。

参考文献:
- 张峥李怡宗,张玉龙,刘翔.中国股市流动性间接指标的检验——基于买卖价差的实证分析[J].经济学:季刊(被引量:57)
- 陈辉.日间数据计算买卖价差的两种方法之比较与应用[J].金融评论,2014(被引量:8)
代码:
数据量:
描述性统计:
结果数据