经管之家App
让优质教育人人可得
立即打开
全部版块
我的主页
›
论坛
›
提问 悬赏 求职 新闻 读书 功能一区
›
经管文库(原现金交易版)
2011-2023年全国各省份城乡基本公共服务供给评价指标体系
楼主
chendingwan123
176
0
收藏
2025-04-02
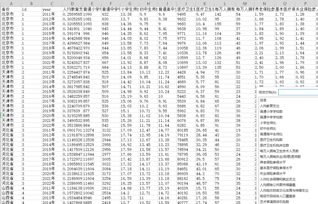
城乡基本公共服务供给评价指标体系构建:从公共教育、医疗卫生、社会保障、文化服务四大角度构建,具体如下:
2011-2023年全国各省份城乡基本公共服务供给评价指标体系
大小:(76 Bytes)
只需: RMB 29元
马上下载
扫码加我 拉你入群
请注明:姓名-公司-职位
以便审核进群资格,未注明则拒绝
相关推荐
[原创]我国水利现代化的评价指标体系
基础设施的评价指标体系
物流评价指标体系
物流评价指标体系
急求城镇化水平评价指标体系
求内部控制具体评价指标体系
新旧企业效绩评价指标体系的对比
大型国有集团公司治理效率与评价指标体系的构造
岗位价值评价指标体系模板
对评价指标体系,用熵权法求权重
栏目导航
经管文库(原现金交易版)
悬赏大厅
数据求助
经管在职研
休闲灌水
求助成功区
热门文章
CDA数据分析师:商业数据分析体系构建的核心 ...
高教现代数学基础07 可靠性统计 茆诗松
2026全球隐私现状
高教现代数学基础06 矩阵论 詹兴致
【自用整理,24更新!】2000-2024新能源汽车上 ...
【热点指标,24更新!】2004-2024上市公司高管 ...
对扩散语言模型开启了一次深度思考
CDA 认证考试大纲 2025 重磅更新:一二级考 ...
CDA数据分析师:承接企业数据需求,解锁数据 ...
CDA数据分析脱产就业班于2025年12月08日开班 ...
推荐文章
[原创]我国水利现代化的评价指标体系
如何验证设计的评价指标体系是否合理
基础设施的评价指标体系
物流评价指标体系
指数与评价指标体系的区别
【必看】【本版版规,欢迎发悬赏贴求助】
说点什么
分享
微信
QQ空间
QQ
微博
扫码加好友,拉您进群
各岗位、行业、专业交流群