全部版块 我的主页
论坛 提问 悬赏 求职 新闻 读书 功能一区 经管文库(原现金交易版)
180 0
2025-04-06
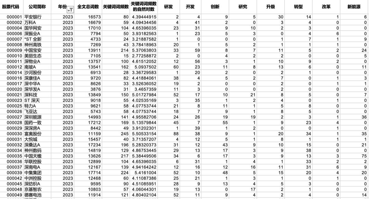
1.资料名称:2023-2008上市公司企业创新活跃度数据
2.测算方式:参考《统计研究》谢佳松(2025)老师的做法,基于上市公司年报中的管理层讨论与分析MD&A部分,建立适用于描述企业创新活动相关词语的词典,基于该词典构建较为全面反映上市企业创新活动的文本指标。具体测算方式为计算企业创新相关术语在其MD&A文本中的占比,该指标数值越大,表示在MD&A中披露或讨论创新相关的内容越多,企业创新活动越活跃。
3.资料内容:5.05万个样本,5562家企业,具体指标包括  股票代码        公司简称        年份        全文总词数        关键词词频数        关键词词频数的自然对数        研发        开发        创新        研究        升级        转型        改革        新能源        专利        新型        创造        新材料        新技术        新兴        高新技术        知识产权        研制        变革        新品        新一代        更新        新工艺        全新        产学研        新模式        发明        迭代        革新        新业态        原创        首创        革命        推陈出新        科技攻关        新途径        独创        
4.参考文献:谢佳松,樊嘉诚,林建浩.我国上市公司创新活动的测度——基于文本分析的方法[J].统计研究,2025,42(02):70-83.
c57673751dbe9241da1a159b941474d.jpg
附件列表
c57673751dbe9241da1a159b941474d.jpg

原图尺寸 159.77 KB

c57673751dbe9241da1a159b941474d.jpg

二维码

扫码加我 拉你入群

请注明:姓名-公司-职位

以便审核进群资格,未注明则拒绝

相关推荐
栏目导航
热门文章
推荐文章

说点什么

分享

扫码加好友,拉您进群
各岗位、行业、专业交流群