全部版块 我的主页
论坛 提问 悬赏 求职 新闻 读书 功能一区 经管文库(原现金交易版)
599 1
2025-06-23
【数据分享】浙江省绿色金融发展指标数据集(2001—2022,史上最全,个人整理)
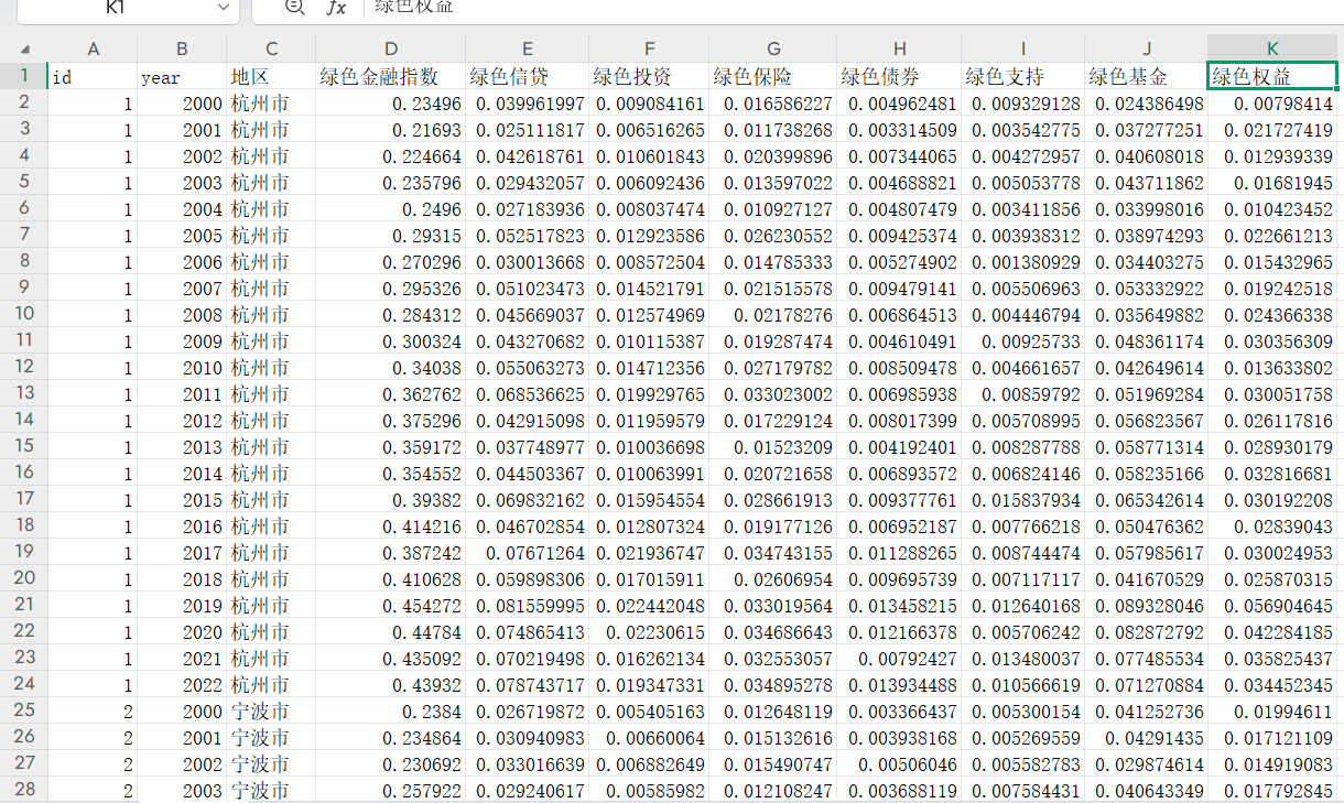
本数据集基于本人长期研究成果,聚焦浙江省 2001—2022 间绿色金融发展状况,涵盖浙江省 11 个地级市的详细面板数据。数据整理不易,仅供科研与学术交流使用,欢迎引用并提出宝贵意见。

本数据集的主要亮点:

·       史上最全绿色金融数据集:首次系统覆盖绿色金融7大维度——绿色信贷、绿色投资、绿色保险、绿色债券、绿色支持、绿色基金、绿色权益。

·       科学权威的指标体系:基于绿色金融相关理论(参考陆鹏飞, 2019;陈慧莹, 2020),结合浙江省实际发展情况,数据指标通过熵值法加权合成,形成综合发展水平指标。

·       完整的时空维度:2001—2022年,长达 22 年的时间跨度,浙江省11个地级市层面,便于进行时序演变、空间比较与政策评估。

绿色金融简介

绿色金融是指为提高资源的利用效率,改善环境治理,对环保、节能、清洁能源等领域提供的金融服务,以引导资源从高污染、高能耗产业流向先进技术的清洁产业部门。目前,我国的绿色金融主要包含绿色信贷、绿色证券、绿色保险和绿色投资等内容(陆鹏飞,2019;陈慧莹,2020)。

指标构建具体可以参考:[1]刘华珂,何春.绿色金融促进城市经济高质量发展的机制与检验——来自中国272个地级市的经验证据[J].投资研究,2021,40(07):37-52.

数据集旨在为绿色金融发展研究、区域经济与环境协同治理、政策评估等提供基础支撑。希望对有志于绿色金融与可持续发展研究的学者、学生及政策研究人员有所帮助。

本文采用绿色信贷、绿色投资、绿色保险、绿色债券、绿色支持、绿色基金、绿色权益这7个维度对浙江省各个地级市的绿色金融发展情况进行衡量,并运用熵值法合成绿色金融发展水平指标,指标的具体计算方式如表2所示。

1.绿色信贷——环保项目信贷占比——该省环保项目信贷总额/全省信贷总额

2.绿色投资——环境污染治理投资占 GDP 比重——环境污染治理投资/GDP                                      

3.绿色保险——环境污染责任保险推广程度——环境污染责任保险收入/总保费收入

4.绿色债券——绿色债券发展程度——绿色债券发行总额/所有债券发行总额                              

5.绿色支持——财政环境保护支出占比——财政环境保护支出/财政一般预算支出

6.绿色基金——绿色基金占比——绿色基金总市值/所有基金总市值

7.绿色权益——绿色权益发展深度——碳交易、用能权交易、排污权交易/权益市场交易总额

数据已进行标准化处理,各地级市之间的数据可比,也可考察数据的动态变化。



数据来源:统计局、科技部、中国人民银行等权威机构网站及各种权威统计年鉴,包括全国及各省市统计年鉴、环境状况公报及一些专业统计年鉴,如《中国科技统计年鉴》《中国能源统计年鉴》《中国金融年鉴》《中国农业统计年鉴》《中国工业统计年鉴》《中国第三产业统计年鉴》。

4f75211e7d2bdfbe17a46860945addf.png
b285dfc310ca365164a49818ce5cca5.png


附件列表

浙江省绿色金融发展指标数据集2001-2022年

大小:85 Bytes

只需: RMB 19 元  马上下载

浙江省绿色金融发展指标数据集2001-2022年

二维码

扫码加我 拉你入群

请注明:姓名-公司-职位

以便审核进群资格,未注明则拒绝

全部回复
2025-6-24 23:51:53
二维码

扫码加我 拉你入群

请注明:姓名-公司-职位

以便审核进群资格,未注明则拒绝

相关推荐
栏目导航
热门文章
推荐文章

说点什么

分享

扫码加好友,拉您进群
各岗位、行业、专业交流群