全部版块 我的主页
论坛 提问 悬赏 求职 新闻 读书 功能一区 经管文库(原现金交易版)
2577 15
2024-06-26
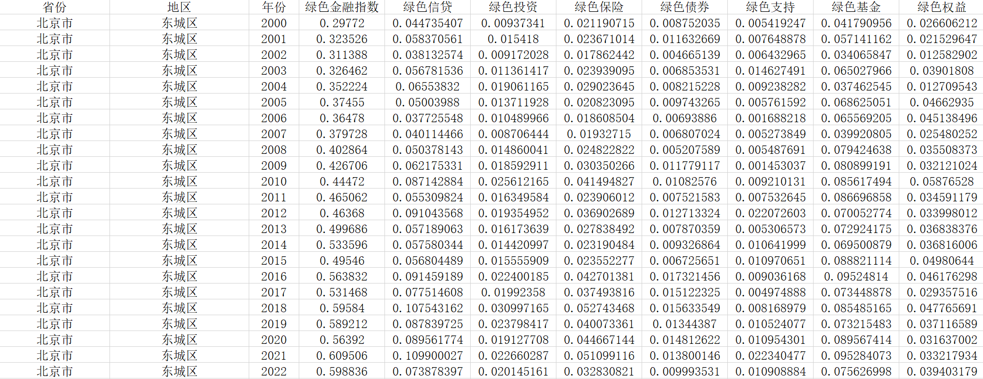
全国31个省份、421个地级市绿色金融指数、绿色金融发展指数2000-2022年

时间区间:2000年—2022年

地区范围:31个省份、421个地级市

数据来源:统计局、科技部、中国人民银行等权威机构网站及各种权威统计年鉴,包括全国及各省市统计年鉴、环境状况公报及一些专业统计年鉴,如 《中国科技统计年鉴》《中国能源统计年鉴》《中国金融年鉴》《中国农业统计年鉴》《中国工业统计年鉴》《中国第三产业统计年鉴》。

计算方式:选取绿色信贷、绿色投资、绿色保险、绿色债券等7个衡量绿色金融发展水平的指标,采用熵值法对各个指标的离散程度进行测算,最终计算出评级绿色金融发展水平的综合指标。

数据变量及计算公式:
1.绿色信贷——环保项目信贷占比——该省环保项目信贷总额/全省信贷总额

2.绿色投资——环境污染治理投资占 GDP 比重——环境污染治理投资/GDP                                      

3.绿色保险——环境污染责任保险推广程度——环境污染责任保险收入/总保费收入

4.绿色债券——绿色债券发展程度——绿色债券发行总额/所有债券发行总额                              

5.绿色支持——财政环境保护支出占比——财政环境保护支出/财政一般预算支出

6.绿色基金——绿色基金占比——绿色基金总市值/所有基金总市值

7.绿色权益——绿色权益发展深度——碳交易、用能权交易、排污权交易/权益市场交易总额

省份绿色金融指数.png

地级市绿色金融指数.png
版权说明:整理不易,请勿贩卖商用

其他说明:目前,市面上大多数的数据仅更新至2021年,本文对数据进行了更新测算,由于2000年前的数据研究使用率较低,故没有加入。原始数据整理不易且内存较大,所以暂不出售。此数据是论文自用计算得来,与市面上的数据或许存在差异,主要有以下原因:一是原始数据参差不齐,本文原始数据通过抽检方式进行过检查,与统计年鉴一致;二是面板数据熵值法的运用存在分歧,本文是按项目指标分类计算熵值,市面上有些数据是直接把面板数据当作截面数据处理(这种方式非常不推荐)或者是按照年份计算熵权后取平均值;三是平移处理时,所选取的平移量不同,比如0.001、0.0001、0.0000001,本文选取0.0001进行处理。
如有任何问题,欢迎留言一起谈论。


附件列表
二维码

扫码加我 拉你入群

请注明:姓名-公司-职位

以便审核进群资格,未注明则拒绝

全部回复
2025-3-20 12:11:03
此帖仅作者可见
二维码

扫码加我 拉你入群

请注明:姓名-公司-职位

以便审核进群资格,未注明则拒绝

2024-11-5 19:47:48
此帖仅作者可见
二维码

扫码加我 拉你入群

请注明:姓名-公司-职位

以便审核进群资格,未注明则拒绝

2024-10-25 15:07:03
此帖仅作者可见
二维码

扫码加我 拉你入群

请注明:姓名-公司-职位

以便审核进群资格,未注明则拒绝

2024-9-3 10:07:52
此帖仅作者可见
二维码

扫码加我 拉你入群

请注明:姓名-公司-职位

以便审核进群资格,未注明则拒绝

2024-9-3 09:33:09
此帖仅作者可见
二维码

扫码加我 拉你入群

请注明:姓名-公司-职位

以便审核进群资格,未注明则拒绝

点击查看更多内容…
相关推荐
栏目导航
热门文章
推荐文章

说点什么

分享

扫码加好友,拉您进群
各岗位、行业、专业交流群