全部版块 我的主页
论坛 经济学论坛 三区 劳动经济学
199 0
2025-12-01

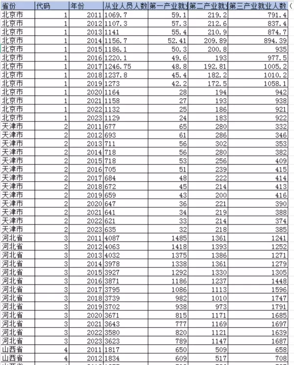
随着我国经济持续快速发展,各省份在第一、二、三产业的就业结构上展现出显著的差异性和多样性。其中,第一产业主要涵盖农业、林业、牧业及渔业,在多数农村地区仍为重要的就业渠道,相关从业人员占比较高。

第二产业涉及工业与建筑业等领域,伴随工业化进程不断深入,多个省份的第二产业就业人数在2011至2023年间实现稳步增长,体现出制造业和基础设施建设对劳动力的强大吸纳能力。

第三产业则包括服务业、金融、教育、医疗等广泛领域。近年来,随着经济结构优化升级以及居民生活水平不断提升,第三产业逐渐成为最主要的就业承载部门,其从业人员规模持续扩大。

本数据集涵盖了2011年至2023年期间中国各省份的第一、二、三产业从业人员数量情况,具体字段包含:省份、代码、年份、总从业人员数(万人)、第一产业就业人数(万人)、第二产业就业人数(万人)以及第三产业就业人数(万人),全面反映全国就业结构的动态演变趋势。

二维码

扫码加我 拉你入群

请注明:姓名-公司-职位

以便审核进群资格,未注明则拒绝

相关推荐
栏目导航
热门文章
推荐文章

说点什么

分享

扫码加好友,拉您进群
各岗位、行业、专业交流群