在经济学和统计学中,三维面板数据(即包含了时间、个体(如省份)以及分类(如行业)三个维度的数据集)确实是一个复杂但有趣的研究领域。对于你提出的模型Y_ir = X_ir*b + e_ir,并希望扩展至包含年份变量的情况,可以考虑构建一个更复杂的多维固定效应或随机效应模型。
### 步骤和方法:
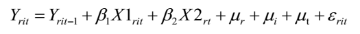
1. **引入时间维度**:首先,在你的模型中加入时间变量t,使得模型变为`Y_{irt} = X_{irt}*β + e_{irt}`。这允许你观察随着时间的推移,行业特征、省份特征以及它们之间的交互如何影响结果变量。
2. **考虑固定效应和随机效应**:
- 固定效应(Fixed Effects):你可以为每一个省份i、行业r及年份t引入虚拟变量或哑变量来捕捉这些维度上的特殊性。
- 随机效应(Random Effects):如果假设各个层面的影响是随机分布的,可以使用混合模型(mixed-effects models),其中部分影响被视为随机变量。
3. **估计方法**:
- 普通最小二乘法可能不适用,因为数据可能存在高度的相关性和异方差。更常见的是使用固定效应或随机效应面板数据回归,这在Stata中可以分别通过`xtreg`, `fe` 和`re`选项实现。
- 对于复杂的多维面板,你可能需要使用高级的混合效应模型(如Stata中的`melogit`、`meqrlogit`等),这些模型能处理更多层次的数据结构。
4. **检验和诊断**:
- 检查多重共线性:确保解释变量之间没有高度相关。
- 进行Hausman测试来决定使用固定效应还是随机效应。
- 检查异方差性和自相关问题,并适当修正。
5. **参考文献**:寻找有关三维面板数据的论文,比如《Longitudinal and Panel Data》(Baltagi, B.H., 2013)等书籍可以提供深入理解。学术数据库如JSTOR或Google Scholar上搜索“three-dimensional panel data”、“multilevel modeling”等相关主题。
6. **Stata的应用**:Stata确实能够处理复杂的多维面板数据模型,包括混合效应模型(mixed-effects models)。你可以通过查阅Stata的官方文档和在线社区资源找到更多关于如何实现特定模型的信息。
### 结论:
正确分析三维面板数据需要考虑数据结构的独特性,并使用适当的统计工具。虽然过程可能较为复杂,但能够揭示出更深刻、全面的研究结果。希望这些建议能帮助你开始或继续你的数据分析旅程!
此文本由CAIE学术大模型生成,添加下方二维码,优先体验功能试用