经管之家App
让优质教育人人可得
立即打开
全部版块
我的主页
›
论坛
›
计量经济学与统计论坛 五区
›
计量经济学与统计软件
›
EViews专版
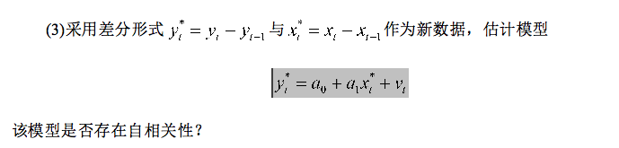
eviews自相关性检验 采用差分形式作为新数据要怎么命令
楼主
leerefrigeon
1138
0
收藏
2019-05-10
如图,这样采用差分形式作新数据在eviews命令里要怎么输入?
还想再请教一下异方差性里加权最小二乘法的权重确定和戈里瑟检验的权数变量有关吗?
谢谢!
附件列表
屏幕快照 2019-05-10 下午3.07.47.png
原图尺寸 28.78 KB
扫码加我 拉你入群
请注明:姓名-公司-职位
以便审核进群资格,未注明则拒绝
相关推荐
EVIEWS自相关问题求救
请教多个解释变量下eviews自相关性的修正步骤是什么?
Eviews自相关的问题怎么解决?求助大神
Eviews自相关图怎么看
eviews自相关
Eviews自相关检验
求看eviews自相关的图
Eviews自相关图和偏自相关图
eviews自相关
eviews自相关图
栏目导航
EViews专版
金融学(理论版)
休闲灌水
求助成功区
金融实务版
商学院
热门文章
CDA数据分析脱产就业班于2026年3月7日开班! ...
CDA数据分析师:深耕表格结构数据特征,筑牢 ...
中外历史年代对照表
湖南统计年鉴2025(Excel版)
中国提振消费的战略选择与国际经验,提振消 ...
2026太空算力发展研究报告
Measure Theory for Analysis and Probabil ...
下载到假资源如何退单
安徽全省一盘棋发力汽车产业
【24重磅,详细,顶刊热点!】2000-2024上市公 ...
推荐文章
2026JG学术冬训营:从Stata初高到Python机器 ...
【必看】【本版版规,欢迎发悬赏贴求助】
26年寒假天津站|Gemini论文写作&数据分析 ...
关于如何利用文献的若干建议
关于学术研究和论文发表的一些建议
关于科研中如何学习基础知识的一些建议 (一 ...
一个自编的经济学建模小案例 --写给授课本科 ...
AI智能体赋能教学改革: 全国AI教育教学应用 ...
2025中国AIoT产业全景图谱报告-406页
关于文献求助的一些建议
说点什么
分享
微信
QQ空间
QQ
微博
扫码加好友,拉您进群
各岗位、行业、专业交流群