全部版块 我的主页
论坛 经济学论坛 三区 微观经济学 经济金融数学专区
2019-11-1 14:23:37
北京大学2015-2016学年数学分析1期中试题
bj2015-5.png


证明:
            由已知
                          $\because a_n=\frac{a^2_{n+1}}{n}+a_{n+1},$

                          $\therefore a_{n+1}-a_n=-\frac{a^2_{n+1}}{n}\rightarrow 0,\rightarrow a_n=a_{n+1},(n \to \infty )$

                          $\begin{align*}\because \lim_{n \to \infty }a_n\ln n&=\lim_{n \to \infty }\frac{a_n}{\frac{1}{\ln n}}\\\\&=\lim_{n \to \infty }\frac{a_{n+1}-a_n}{\frac{1}{\ln(n+1)}-\frac{1}{\ln n}}\\\\&=\lim_{n \to \infty }\frac{a^2_{n+1}\cdot \ln n\ln(n+1)}{n\ln(1+\frac{1}{n})}\\\\&=\lim_{n \to \infty }(a_{n+1}\ln n)(a_{n+1}\ln (n+1))\\\\&=\lim_{n \to \infty }(a_{n}\ln n)(a_{n+1}\ln (n+1)),\end{align*}$

                           $\displaystyle \therefore \lim_{n \to \infty }a_{n+1}\ln (n+1)=\lim_{n \to \infty }a_{n}\ln n=1.$
         
            这里考虑到
                                  $\displaystyle \lim_{n \to \infty }a_{n}\ln n\neq 0.$

            
               






二维码

扫码加我 拉你入群

请注明:姓名-公司-职位

以便审核进群资格,未注明则拒绝

2019-11-1 14:24:07
北京大学2015-2016学年数学分析1期中试题
bj2015-6.png

证明:
            由已知条件,有
                                      $\displaystyle \because \lim_{n \to \infty }(x_n-2x_{x+1}+x_{n+2})=0,$

                                      $\displaystyle \therefore \lim_{n \to \infty }(x_n-x_{n+1} )=\lim_{n \to \infty }(x_{n+1}-x_{n+2}),$

               所以差分级数$\{x_n-x_{n+1}\}$为同号级数。不妨设为正项级数(负项级数可将负号提出),其部分和为

                                     $\displaystyle \sum_{k=1}^{n}(x_n-x_{n+1})=x_1-x_{n+1}< M,(n \to \infty,\because |x_n|< M )$

                     级数收敛,故有

                                       $\displaystyle \Rightarrow \lim_{n \to \infty }(x_n-x_{n+1})=0.$




二维码

扫码加我 拉你入群

请注明:姓名-公司-职位

以便审核进群资格,未注明则拒绝

2019-11-1 14:24:39
北京大学2015-2016学年数学分析1期中试题
bj2015-7.png

证明:
                由已知,由于$\xi ,\delta $的任意性,可令$\xi\to b$,此时

                                                        $\exists y\in(\xi-\delta ,\xi) \subset (a,b),s.t.$

                                                         $f(y)< f(\xi)< f(b).$

                                 即在$b$的左侧邻域内,函数$f(x)$严格单调增.

                           同理,可令$\delta \to \xi-a$,此时

                                                          $\exists y\in(\xi-\delta ,\xi) \subset (a,b),s.t.$

                                                           $f(a)< f(y)< f(\xi).$

                                 即在$a$的右侧邻域内,函数$f(x)$严格单调增.

                     综上,在$(a,b)$内,函数$f(x)$严格单调增.

                                 

二维码

扫码加我 拉你入群

请注明:姓名-公司-职位

以便审核进群资格,未注明则拒绝

2019-11-4 11:13:52
西南大学2002年数学分析试题
xn1.png

解:
         (1)、      
                        $\because \frac{1}{9n^2-3n-3}=\frac{1}{(3n+1)(3n-2)}=\frac{1}{3}(\frac{1}{3n-2}-\frac{1}{3n+1}),$

                        $\begin{align*}\therefore \lim_{n \to \infty }(\frac{1}{4}+\frac{1}{28}+\cdots +\frac{1}{9n^2-3n-3})&=\frac{1}{3}\lim_{n \to \infty }\sum_{k=1}^{n}(\frac{1}{3k-2}-\frac{1}{3k+1})\\\\&=\frac{1}{3}\lim_{n \to \infty }(1-\frac{1}{3n+1})\\\\&=\frac{1}{3}.
\end{align*}$



           (2)、因为$f(x)$在$x=0$点连续,所以有

                           $\displaystyle \lim_{x\to 0}\frac{f(x)+2\ln(x+1)}{x}=\lim_{x\to 0}(f'(x)+\frac{2}{x+1})=1,$

                    又因为$f'(x)$连续,因此

                           $\displaystyle f'(0)=\lim_{x\to 0}f'(x)=-1.$


             (3)、$\frac{\mathrm{d} }{\mathrm{d} x}\int_{0}^{x}tf(x^2-t^2)dt=-\frac{1}{2}\frac{\mathrm{d} }{\mathrm{d} x}\int_{0}^{x}f(x^2-t^2)d(x^2-t^2)=-\frac{1}{2}f(0).$


               (4)、$dz=\frac{\partial z}{\partial x}dx+\frac{\partial z}{\partial y}dy=y\cos xy e^{\sin{xy}}dx+x\cos xy e^{\sin{xy}}dy.$



二维码

扫码加我 拉你入群

请注明:姓名-公司-职位

以便审核进群资格,未注明则拒绝

2019-11-4 11:14:26
西南大学2002年数学分析试题
xn2.png

解:
        (5)、运用格林公式
                     
                                  $P=2xy-2y,\frac{\partial P}{\partial y}=2x-2,$

                                   $Q=x^2-4x,\frac{\partial Q}{\partial x}=2x-4,$

                                   $\oint_L (2xy-2y)dx+(x^2-4x)dy=\iint_D(\frac{\partial Q}{\partial x}-\frac{\partial P}{\partial y})dxdy=-2\iint_Ddxdy=-18\pi.$
                        

           (6)、
                                 $\because f(x)=3x^2+2\int_{0}^{1}f(x)dx,$

                                 $\therefore \int_{0}^{1}f(x)dx=\int_{0}^{1}3x^2dx+2\int_{0}^{1}f(x)dx,$

                                  $\Rightarrow \int_{0}^{1}f(x)dx=-1,$
                    因此
                                $\int_{1}^{2}f(x)dx=\int_{1}^{2}3x^2dx+2\int_{0}^{1}f(x)dx=x^3|_1^2-2=5.$


          (7)、
                                $I=\int_{0}^{1}\sqrt{2x-x^2}dx=-\int_{0}^{1}\sqrt{1-(1-x)^2}d(1-x),$

                      作变量代换
                                $1-x=\cos t,dx=\sin tdt,[0,1]\rightarrow [\frac{\pi}{2},0] ,$

                                $\therefore I=-\int_{\frac{\pi}{2}}^{0}\sqrt{1-\cos^2t}\sin tdt=\int_{0}^{\frac{\pi}{2}}\sin^2tdt=\int_{0}^{\frac{\pi}{2}}\frac{1-\cos2t}{2}dt=\frac{\pi}{4}.$


           (8)、  
                               $\begin{align*}I&=\int_{0}^{2}dx\int_{x}^{2}e^{-y^2}dy\\\\&=\int_{0}^{2}e^{-y^2}dy\int_{0}^{x}dx\\\\&=\int_{0}^{2}ye^{-y^2}dy\\\\&=-\frac{1}{2}e^{-y^2}|_0^2\\\\&=\frac{1}{2}(1-e^{-4}).
\end{align*}$




                              
二维码

扫码加我 拉你入群

请注明:姓名-公司-职位

以便审核进群资格,未注明则拒绝

2019-11-4 11:14:59
西南大学2002年数学分析试题
xn3.png


在后面的北大题中已经解答。

二维码

扫码加我 拉你入群

请注明:姓名-公司-职位

以便审核进群资格,未注明则拒绝

2019-11-4 11:15:36
西南大学2002年数学分析试题
xn4.png


证明: 由拉格朗日中值定理

                                      $x> 0,\exists \xi \in (0,x),s.t.$

                                       $f(x)-f(0)=f'(\xi )x\geq kx> 0.$

                                       $\therefore f(x)> 0,$
                    又由条件
                                       $f(0)<0,$

                      因此,由Rolle定理

                                      $\exists x_0\in (0,x),s.t.f(x_0)=0.$

                          再者
                                       $\because f'(x)> 0,\therefore f(x)\uparrow ,$

                          所以,在$(0,+\infty )$内,仅有一个零点。



二维码

扫码加我 拉你入群

请注明:姓名-公司-职位

以便审核进群资格,未注明则拒绝

2019-11-4 11:16:52
西南大学2002年数学分析试题
xn5.png


证明:
                        $\because \lambda \in (0,1),$

                        $\therefore 0< \lambda t< t,$

                作变量代换:
                                     $x=\lambda t,$

                 因此
                         $\int_{0}^{\lambda }f(x)dx=\lambda \int_{0}^{1}f(\lambda t)dt\geq \lambda \int_{0}^{1}f(t)dt.$

                    其中,利用了函数的单调递减条件。



二维码

扫码加我 拉你入群

请注明:姓名-公司-职位

以便审核进群资格,未注明则拒绝

2019-11-4 11:19:15
西南大学2002年数学分析试题
xn6.png



1.png
2.png



二维码

扫码加我 拉你入群

请注明:姓名-公司-职位

以便审核进群资格,未注明则拒绝

2019-11-4 11:21:34
西南大学2002年数学分析试题
xn7.png

证明:
             假设数列极限存在,令

                                     $\displaystyle \lim_{n \to \infty }x_n=l< \infty ,$
                  
                       则有
                                    $\displaystyle  l=\frac{2(1-l)}{2+l},$

                                 $\Rightarrow l=-2\pm \sqrt{6},$

                       由已知,得

                                     $\displaystyle  x_n=\frac{2(1-x_{n-1})}{2+x_{n-1}}< \frac{2(1-x_{n-1})}{2(1-x_{n-1})} < 1,$

                                  $\displaystyle  \because x_n=\frac{2(1-x_{n-1})}{2+x_{n-1}}> \frac{2}{2+x_{n-1}},(x_n<1)$
        
                                 $\displaystyle  \therefore x_nx_{n-1}> 2(1-x_n)> 0,$
                    
                         又因为
                                     $x_0> 0,\Rightarrow x_n> 0,$
                       
                                  $\displaystyle  \therefore \lim_{n \to \infty }x_n=l=-2+\sqrt{6}.$

                          同时,也证明了极限存在的假设合理。



注:此题直接证单调性,似乎不好证。

二维码

扫码加我 拉你入群

请注明:姓名-公司-职位

以便审核进群资格,未注明则拒绝

2019-11-4 11:24:18
西南大学2002年数学分析试题
xn8.png

解:(1)、
                          $\begin{align*}\sum_{n=1}^{\infty }\frac{1}{n}(a_n+a_{n+2})&=\sum_{n=1}^{\infty }\frac{1}{n}\int_{0}^{\frac{\pi}{4}}\tan^nx(1+\tan^2x)dx\\\\&=\sum_{n=1}^{\infty }\frac{1}{n}\tan^nxd\tan x\\\\&=\sum_{n=1}^{\infty }\frac{1}{n}\cdot \frac{1}{n+1}\tan^{n+1}x|_0^{\frac{\pi}{4}}\\\\&=\sum_{n=1}^{\infty }\frac{1}{n(n+1)}\\\\&=\lim_{n \to \infty }\sum_{k=1}^{n}(\frac{1}{k}-\frac{1}{k+1})\\\\&=\lim_{n \to \infty }(1-\frac{1}{n+1})\\\\&=1.
\end{align*}$


       (2)、
                         $\displaystyle \because \frac{a_n}{n^\lambda }=\frac{1}{n^\lambda }\int_{0}^{\frac{\pi}{4}}\tan^nxdx\leq \frac{1}{n^\lambda }\int_{0}^{\frac{\pi}{4}}\tan^{n-2}xd\tan x=\frac{1}{n^\lambda (n-1)}< \frac{1}{n^{\lambda +1}}.$

                         $\displaystyle \therefore \lambda > 0,\sum_{n=1}^{\infty }\frac{a_n}{n^\lambda }< \infty .$


二维码

扫码加我 拉你入群

请注明:姓名-公司-职位

以便审核进群资格,未注明则拒绝

2019-11-4 11:24:52
西南大学2002年数学分析试题
xn9.png


解:
         由已知
                            $\displaystyle \because \lim_{x\to 0}\frac{f(x)}{x}=A,$

                            $\displaystyle \therefore \lim_{x\to 0}\frac{f(x)}{x}=\lim_{x\to 0}f'(x)=f'(0)=A.$

        由于$f(x)$连续,因此在常规积分下,积分与求极限可交换次序,故有

                            $\begin{align*}\because \varphi'(x)&=\lim_{\Delta x\to 0}\frac{\int_{0}^{1}f((x+\Delta x)t)dt-\int_{0}^{1}f(xt)dt}{\Delta x}\\\\&=\lim_{\Delta x\to 0}\int_{0}^{1}t\cdot \frac{f((x+\Delta x)t)-f(xt)}{t\Delta x}dt\\\\&=\int_{0}^{1}t\cdot \lim_{\Delta x\to 0}\frac{f((x+\Delta x)t)-f(xt)}{t\Delta x}dt\\\\&=\int_{0}^{1}tf'(xt)dt.
\end{align*}$

                             $\displaystyle \therefore \varphi'(0)=f'(0)\int_{0}^{1}tdt=\frac{1}{2}A,$

                 而
                              $\displaystyle \lim_{x\to 0}\varphi'(x)=\lim_{x\to 0}\int_{0}^{1}tf'(xt)dt=\int_{0}^{1}t\lim_{x\to 0}f'(xt)dt=\frac{1}{2}A.$

                 因此有
                              $\displaystyle \Rightarrow \lim_{x\to 0}\varphi'(x)=\varphi'(0).$

                   即函数$\varphi'(x)$在$x=0$处连续。


二维码

扫码加我 拉你入群

请注明:姓名-公司-职位

以便审核进群资格,未注明则拒绝

2019-11-4 11:25:24
西南大学2002年数学分析试题
xn10.png

证明:
              令
                   $f(x)=1-x-(1+x)e^{-2x},$

                   $f(0)=0,$
              又
                   $\begin{align*}\because f'(x)&=-1-e^{-2x}+2(1+x)e^{-2x}\\\\&=-1+(1+2x)e^{-2x}\\\\&=-1+(1+2x)(1-2x)+o(x)\\\\&=-4x^2+o(x)\\\\&< 0. (0< x< 1)\end{align*}$

                   $\therefore f(x)\downarrow ,$

                   $f(x)< f(0)=0.$

              由此可知
               
                   $1-x<(1+x)e^{-2x},$

                   $\displaystyle \Rightarrow \frac{1-x}{1+x}< e^{-2x}.$





二维码

扫码加我 拉你入群

请注明:姓名-公司-职位

以便审核进群资格,未注明则拒绝

2019-11-4 11:25:56
西南大学2002年数学分析试题
xn11.png


解:复合函数的链式求导,略。



二维码

扫码加我 拉你入群

请注明:姓名-公司-职位

以便审核进群资格,未注明则拒绝

2019-11-4 11:26:31
西南大学2002年数学分析试题
xn12.png

解:     由已知
                     $\because a_n\leq a_{n-1},\sum (-1)^na_n=\infty .$

          根据交错级数莱卜尼兹定理,必有,(否则,所给级数收敛)

                     $\therefore a_n\nrightarrow 0,(n \to \infty ),$

               而
                     $\frac{1}{(1+a_n)^n}\sim 1-na_n\nrightarrow 0,(n \to \infty )$

               所以
                      $\displaystyle \Rightarrow \sum_{n=1}^{\infty }\frac{1}{(1+a_n)^n}=\infty .$



二维码

扫码加我 拉你入群

请注明:姓名-公司-职位

以便审核进群资格,未注明则拒绝

2019-11-6 20:49:30
其实西南大学的这张试卷,题量大,难度也足够。
二维码

扫码加我 拉你入群

请注明:姓名-公司-职位

以便审核进群资格,未注明则拒绝

2019-11-8 16:23:47
北京大学2007级数学分析期末考试试卷
bj2007-1.png



解:
              $\begin{align*}\lim_{n \to \infty }\frac{f(\sin\frac{1}{n})-f(\sin(-\frac{1}{n^2}))}{\frac{1}{n}}&=\lim_{n \to \infty }(\frac{f(\sin\frac{1}{n})-f(0)}{\frac{1}{n\sin\frac{1}{n}}\cdot\sin\frac{1}{n}}-\frac{f(\sin(-\frac{1}{n^2}))-f(0)}{\frac{1}{n\sin(-\frac{1}{n^2})}\cdot\sin(-\frac{1}{n^2})})\\\\&=\lim_{n \to \infty }(n\cdot \frac{1}{n}f'(0)-n\cdot (-\frac{1}{n^2})f'(0))\\\\&=f'(0).
\end{align*}$




二维码

扫码加我 拉你入群

请注明:姓名-公司-职位

以便审核进群资格,未注明则拒绝

2019-11-8 16:24:16
北京大学2007级数学分析期末考试试卷
bj2007-2.png

解:(1)、
                      $\displaystyle \int \frac{dx}{\sin^2x\cos^2x}=\int\frac{dx}{\sin^2x}+\int\frac{dx}{\cos^2x}=-\cot x+tan x+C.$


        (2)、
                       $\displaystyle \int \sqrt{x}\ln xdx=\frac{2}{3}x^{\frac{3}{2}}\ln x+\frac{2}{3}\int x^{\frac{3}{2}}\cdot \frac{1}{x}dx=\frac{2}{3}x^{\frac{3}{2}}\ln x+\frac{4}{9}x^{\frac{3}{2}}+C.$


         (3)、
                       $\displaystyle \int \frac{dx}{1+e^x}=-\int \frac{de^{-x}}{e^{-x}+1}=-\ln(e^{-x}+1)+C.$


          (4)、
                       $\displaystyle \int \cos\frac{1}{x}\cdot \frac{1}{x^3}dx=-\frac{1}{x}\sin\frac{1}{x}-\int \sin\frac{1}{x}d(\frac{1}{x})=-\frac{1}{x}\sin\frac{1}{x}+\cos\frac{1}{x}+C.$



二维码

扫码加我 拉你入群

请注明:姓名-公司-职位

以便审核进群资格,未注明则拒绝

2019-11-8 16:24:46
北京大学2007级数学分析期末考试试卷
bj2007-3.png

解:
       (1)、
                    $\displaystyle \lim_{x\to 0}(\frac{1}{x^3}-\frac{1}{\sin x^3})=\lim_{x\to 0}\frac{\sin x^3-x^3}{x^3\sin x^3}=\lim_{x\to 0}\frac{-\frac{1}{3}x^9}{x^6}=0.$


       (2)、
                     $\displaystyle \lim_{n \to +\infty }(\frac{(1+\frac{1}{n})^n}{e})^n=\lim_{n \to +\infty }\exp (n\ln(1+\frac{1}{n})^n-n)=e.$


二维码

扫码加我 拉你入群

请注明:姓名-公司-职位

以便审核进群资格,未注明则拒绝

2019-11-8 16:25:13
北京大学2007级数学分析期末考试试卷
bj2007-4.png

解:1)、令
                                     $u=x^2+2x,$

                         则
                                     $x=-1,u=-1,u'=2x+2=0,u''=2,u'''=\cdots =u^{n}=0.$
                     
                       求出各阶导数

                                     $f(-1)=e^u=e^{-1},$

                                      $f'(-1)=u'e^u=0,$

                                      $f''(-1)=(u''+(u')^2)e^u=2e^{-1},$

                                      $f'''(-1)=(u'''+2u'u''+u'(u''+(u')^2))e^u=(u'''+3u'u''+(u')^3)e^u=0,$

                          以下显然有

                                      $f^{(4)}(-1)=f^{(5)}(-1)=\cdots =0,$

                             故函数$f(x)$在$x=-1$处的Peano余项为

                                          $R_n=o((x+1)^n)=R_2=o((x+1)^2),$


           2)、各阶导数值已在上面求出。


二维码

扫码加我 拉你入群

请注明:姓名-公司-职位

以便审核进群资格,未注明则拒绝

2019-11-8 16:25:47
北京大学2007级数学分析期末考试试卷
bj2007-5.png

证明:可将区间分为两个:
                                        $(0,1]\cup [1,+\infty ).$

                  在$[1,+\infty )$上,$f'(x)$有界,最大值为$1$,由此,函数$f(x)$在在$[1,+\infty )$上一致连续。

                  在$(0,1]$上,因为

                                           $\displaystyle \lim_{x\to 0^+}x^\alpha \ln x=\lim_{x\to 0^+}\frac{\ln x}{x^{-\alpha }}=\lim_{x\to 0^+}\frac{1}{-\alpha x^{-\alpha -1}\cdot x}=0.$(存在)

                   由函数一致连续的判定定理,函数$f(x)$在$(0,1]$上一致连续。

                    所以函数$f(x)$在$(0,+\infty )$ 上一致连续。


      

二维码

扫码加我 拉你入群

请注明:姓名-公司-职位

以便审核进群资格,未注明则拒绝

2019-11-8 16:26:18
北京大学2007级数学分析期末考试试卷
bj2007-6.png

证明:
            如果函数为凸函数,则

                                               $\forall x_0,x\in (a,b),s.t.$

                                                $\frac{f(x_0+\Delta x)-f(x_0)}{\Delta x}< \frac{f(x)-f(x_0)}{x-x_0},$

                          两边取极限,得
                                                $\displaystyle \lim_{\Delta x\to 0}\frac{f(x_0+\Delta x)-f(x_0)}{\Delta x}=f'(x_0)\leq \frac{f(x)-f(x_0)}{x-x_0},$

                              由此
                                                 $\Rightarrow f(x)\geq f(x_0)+f'(x_0)(x-x_0).$

                                 结论成立。

             反之,如果上式结论成立,则有

                                                  $f'(x_0)\leq \frac{f(x)-f(x_0)}{x-x_0}.$

                          此即凸函数的性质。故$f(x)$为凸函数。

                    综上,命题成立。



二维码

扫码加我 拉你入群

请注明:姓名-公司-职位

以便审核进群资格,未注明则拒绝

2019-11-8 16:26:48
北京大学2007级数学分析期末考试试卷
bj2007-7.png

证明:    由已知,
                            $\because f(a)=f(b),$

                  由Rolle中值定理
                             $\therefore \exists \eta \in (a,b),s.t.f'(\eta )=0.$

                   根据拉格朗日中值定理,有

                               $\exists \xi_1\in(a,\eta),\xi_2\in(\eta,b),s.t.$

                                $f(\eta)-f(a)=f'(\xi_1)a,$

                                $f(b)-f(\eta)=f'(\xi_2)b,$

                                $\Rightarrow f'(\xi_1)f'(\xi_2)=-\frac{f(a)}{a}\cdot \frac{f(b)}{b}< 0,$

                      再利用介值定理,

                                  $\therefore \exists \xi_3\in(\xi_1,\xi_2),s.t.f'(\xi_3)=0.$

                      于是,再利用Rplle中值定理,有

                                   $\exists \xi\in(\eta,\xi_3),s.t.$

                                    $f''(\xi)=0.$

                         因此,命题成立。上面假定了$\eta<\xi_3$,如果$\eta》\xi_3$,结果同样成立。




二维码

扫码加我 拉你入群

请注明:姓名-公司-职位

以便审核进群资格,未注明则拒绝

2019-11-8 16:27:14
北京大学2007级数学分析期末考试试卷
bj2007-8.png

证明:
              因自变量变化区间为无穷区间,根据实数理论,必能找到一个子列$\{x_n\}$,使得

                                                             $\displaystyle \lim_{n \to +\infty }x_n=+\infty ,$

                                而由已给条件,这个子列$\{x_n\}$,也必能满足,因此有

                                                             $\displaystyle \lim_{n \to +\infty }\frac{f(x_n)}{x_n}=\lim_{n \to +\infty }f'(x_n)=0,$

                                 上述两个结论同时成立。所以,命题得证。



二维码

扫码加我 拉你入群

请注明:姓名-公司-职位

以便审核进群资格,未注明则拒绝

2019-11-9 10:51:40
北京大学2008级数学分析期末考试试卷
bj2008-1.png


解:
           (1)、如果$f(x)$是定义在$[a,b]$上的函数,设$T$为该区间上的一个分划:

                               $T:a=x_0< x_1< \cdots < x_{n-1}< x_n=b.$

                        令
                               $\Delta x_i=x_i-x_{i-1},\xi_i\in[x_{i-1},x_i],i=1,2,\cdots ,n$

                                $\forall \varepsilon > 0,\exists \delta > 0,0< |\omega =\max \{|\Delta x_i|i=1,2,\cdots ,n|\}|< \delta ,s.t.$

                                $\displaystyle |I-\sum_{i=1}^{n}f(\xi_i)\Delta x_i|< \epsilon .$

二维码

扫码加我 拉你入群

请注明:姓名-公司-职位

以便审核进群资格,未注明则拒绝

2019-11-9 10:52:15
北京大学2008级数学分析期末考试试卷
bj2008-2.png


证明:因为$f(x)$在$[0,T]$上连续,因此$f(x)$有界。又因为$g(x)$有连续的导函数,所以$g(x)$ 连续。因此有

                                   $\begin{align*}\lim_{\lambda \to 0}\int_{0}^{T}f(x)g'(\lambda x)dx&=f(c)\lim_{\lambda \to 0}\int_{0}^{T}g'(\lambda x)dx\\\\&=f(c)\lim_{\lambda \to 0}\frac{1}{\lambda }\int_{0}^{T}g'(\lambda x)d\lambda x\\\\&=f(c)\lim_{\lambda \to 0}\frac{1}{\lambda }(g(\lambda T)-g(0))\\\\&=f(c)\lim_{\lambda \to 0}\frac{1}{\lambda }(g(0)-g(0))\\\\&=0.
\end{align*}$

                  其中,$f(c)$为介于函数值最大和最小之间一个值,根据介值定理,这样的$c\in[0,T]$是存在的。



二维码

扫码加我 拉你入群

请注明:姓名-公司-职位

以便审核进群资格,未注明则拒绝

2019-11-9 10:52:49
北京大学2008级数学分析期末考试试卷
bj2008-3.png

解:   因为
                 $a_n=(\frac{2n^2-3}{2n^2+1})^{n^2}=(1-\frac{4}{2n^2+1})^{-\frac{2n^2}{4}\cdot \frac{-4n^2}{2n^2+1}}\rightarrow e^{-2}\neq 0,(n \to \infty )$

          所以,级数发散。




二维码

扫码加我 拉你入群

请注明:姓名-公司-职位

以便审核进群资格,未注明则拒绝

2019-11-9 10:53:17
北京大学2008级数学分析期末考试试卷
bj2008-4.png

证明:
            由已知,故有

                       $\frac{(1-\frac{x_n}{x_{n+1}})y_n}{(1-\frac{x_{n-1}}{x_{n}})y_{n-1}}=\frac{x_n}{x_{n+1}}\cdot \frac{x_{n+1}-x_n}{x_n-x_{n-1}}\cdot \frac{y_n}{y_{n-1}},$

                       $\because \exists N> 0,n> N,s.t.\frac{x_{n+1}}{x_{n}}=\frac{x_{n+1}-x_n}{x_n-x_{n-1}},(Stolz)$

                        $\therefore \frac{x_n}{x_{n+1}}\cdot \frac{x_{n+1}-x_n}{x_n-x_{n-1}}=1,(n \to \infty )$

                    而
                        $\frac{y_n}{y_{n-1}}\geq 1,$

                         $\therefore \frac{(1-\frac{x_n}{x_{n+1}})y_n}{(1-\frac{x_{n-1}}{x_{n}})y_{n-1}}\geq 1,$

                    级数单调增。又

                         $|(1-\frac{x_n}{x_{n+1}})y_n|\leq y_n< M,(M> 0)$

                    级数有界。

              因此,级数单调有界,收敛。



二维码

扫码加我 拉你入群

请注明:姓名-公司-职位

以便审核进群资格,未注明则拒绝

2019-11-9 10:53:48
北京大学2008级数学分析期末考试试卷
bj2008-5.png

解:
                        $\because \sin x=x+o(x),\arctan x=x+o(x),$

                         $\therefore \frac{\sin x\arctan x}{x^\alpha }=\frac{1}{x^{\alpha -2}},$

               因此当
                                $\therefore 0\leq \alpha \leq 3,$

                时,积分发散。而当

                                $\alpha >3, $

                时,积分绝对收敛。


这题的解似有问题,待再想



二维码

扫码加我 拉你入群

请注明:姓名-公司-职位

以便审核进群资格,未注明则拒绝

2019-11-9 10:54:13
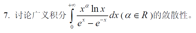
北京大学2008级数学分析期末考试试卷
bj2008-6.png

解:
                 $\because \frac{x^\alpha \ln x}{e^x-e^{-x}}=\frac{x^\alpha e^x\ln x}{e^{2x}-1}\sim \frac{x^\alpha \ln x}{2},$

                 $\int_{0}^{+\infty }\frac{x^\alpha \ln x}{2}=\int_{0}^{1}\frac{x^\alpha \ln x}{2}+\int_{1}^{+\infty }\frac{x^\alpha \ln x}{2},$

            而
                 $\because \int_{0}^{1}\frac{x^\alpha \ln x}{2}=\frac{1}{2(\alpha +1)}x^{\alpha +1}\ln x|_0^1+\frac{1}{2(\alpha +1)^2}x^{\alpha +1}|_0^1,$

            若此积分收敛,则必有

                        $\alpha+1> 0,\Rightarrow \alpha > -1.$

          同时,
                         $\because \int_{1}^{+\infty }\frac{x^\alpha \ln x}{2}=\frac{1}{2(\alpha +1)}x^{\alpha +1}\ln x|_1^{+\infty }+\frac{1}{2(\alpha +1)^2}x^{\alpha +1}|_1^{+\infty },$

            要使这个积分收敛,必须满足

                          $\alpha +1< 0,\alpha < -1.$

            综合上面两种情况,这样的条件不可能同时成立。所以原积分发散。



二维码

扫码加我 拉你入群

请注明:姓名-公司-职位

以便审核进群资格,未注明则拒绝

栏目导航
热门文章
推荐文章

说点什么

分享

扫码加好友,拉您进群
各岗位、行业、专业交流群