经管之家App
让优质教育人人可得
立即打开
全部版块
我的主页
›
论坛
›
计量经济学与统计论坛 五区
›
计量经济学与统计软件
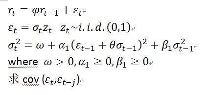
初学时间序列,请教一个基本问题,谢谢
楼主
地上没有草
1172
1
收藏
2011-01-08
扫码加我 拉你入群
请注明:姓名-公司-职位
以便审核进群资格,未注明则拒绝
全部回复
沙发
hugebear
2011-1-8 19:24:32
这个基本问题有点难啊,不过感觉您的第一行条件是没用的。。。
扫码加我 拉你入群
请注明:姓名-公司-职位
以便审核进群资格,未注明则拒绝
相关推荐
经济学的几个基本问题
投机---市场经济的基本问题
经济学的7个基本问题
哲学的基本问题
物业税设计的若干基本问题
请问一些学习经济或金融的基本问题应该到哪个版块提问?
汪丁丁:论中国社会基本问题
问一个基本问题
请教协整的基本问题
请教个基本基本问题
栏目导航
计量经济学与统计软件
经管高考
经管文库(原现金交易版)
金融实务版
数据分析与数据挖掘
求助成功区
热门文章
《那年2003:我双手插兜,搞钱不知什么叫对 ...
大势与抉择:关键趋势20讲(马江博)
国家新纪元:人工智能时代的力量与优势
《那年2003》第67章:预警信号频发?CDA老哥 ...
《那年2003》 第66章:时间管理大师?周旋于 ...
无限维空间上的测度和积分
北美PHD,焦虑的一批~
计算方法丛书006 无约束最优化计算方法 邓乃 ...
《信用价值论》社会再生产方程式解读 与在宏 ...
《信用价值论》社会再生产均衡方程式 在宏观 ...
推荐文章
2026JG学术冬训营:从Stata初高到Python机器 ...
【必看】【本版版规,欢迎发悬赏贴求助】
【新课】26年3月|Gemini辅助论文写作与数据 ...
关于如何利用文献的若干建议
关于学术研究和论文发表的一些建议
关于科研中如何学习基础知识的一些建议 (一 ...
一个自编的经济学建模小案例 --写给授课本科 ...
AI智能体赋能教学改革: 全国AI教育教学应用 ...
2025中国AIoT产业全景图谱报告-406页
关于文献求助的一些建议
说点什么
分享
微信
QQ空间
QQ
微博
扫码加好友,拉您进群
各岗位、行业、专业交流群