经管之家App
让优质教育人人可得
立即打开
全部版块
我的主页
›
论坛
›
计量经济学与统计论坛 五区
›
计量经济学与统计软件
›
Stata专版
stata 做arima模型估计求助
楼主
faunar
1382
3
收藏
2020-11-03
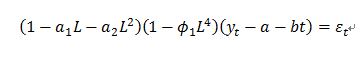
请教大家这是个什么模型,如何做one step estimation using stata?请指教!谢谢!
附件列表
QQ浏览器截图20201103191440.png
原图尺寸 1.99 KB
扫码加我 拉你入群
请注明:姓名-公司-职位
以便审核进群资格,未注明则拒绝
全部回复
沙发
faunar
2020-11-3 20:30:49
有熟悉这个模型和stata estimation的大牛指点一下吧!非常感谢!
扫码加我 拉你入群
请注明:姓名-公司-职位
以便审核进群资格,未注明则拒绝
藤椅
faunar
2020-11-3 20:31:48
请教熟悉这个时间序列模型的牛人!非常感谢!
扫码加我 拉你入群
请注明:姓名-公司-职位
以便审核进群资格,未注明则拒绝
板凳
faunar
2020-11-11 16:03:50
顶~~~了解的同学介绍下这个arima模型和他的估计方法吧,最好是one step estimation哦!感谢!!
扫码加我 拉你入群
请注明:姓名-公司-职位
以便审核进群资格,未注明则拒绝
相关推荐
[求助]如何使用STATA的MLE估计ARIMA模型
[下载]《ARMA,ARIMA模型》专题经典文集
Stata下拟合ARIMA模型之后求预测的MSE
请教关于ARIMA模型的检验问题
用stata做arima模型后结果中得/sigma是什么意思?
用stata做ARIMA模型结果中z值就是一个点(.),这表示什么意思啊?
stata时间序列arima模型预测问题求助
stata求arima模型特征多项式的特征根
用stata做ARIMA模型结果中z值和p值就是一个点
【学习笔记】求stata的ARIMA模型笔记
栏目导航
Stata专版
经管高考
真实世界经济学(含财经时事)
金融学(理论版)
计量经济学与统计软件
商学院
热门文章
我该如何记住你?智能体记忆系统的演化之路
202601-中国智能驾驶行业趋势白皮书
到2032年全球RJ11连接器市场规模将接近12.4 ...
油罐车加油系统,全球前10强生产商排名及市 ...
2026年亚马逊市场趋势报告
无上高明的“无为”“无住”哲学在传统中国
现代数学基础 现代极限理论及其在随机结构中 ...
高教现代数学基础15 有限群表示论 曹锡华,时 ...
【25更新,详细,热点指标!】2002-2025省级ZF ...
【热点变量,详细,24更新!】2003-2025地级市 ...
推荐文章
2026JG学术冬训营:从Stata初高到Python机器 ...
【必看】【本版版规,欢迎发悬赏贴求助】
26年寒假天津站|Gemini论文写作&数据分析 ...
关于如何利用文献的若干建议
关于学术研究和论文发表的一些建议
关于科研中如何学习基础知识的一些建议 (一 ...
一个自编的经济学建模小案例 --写给授课本科 ...
AI智能体赋能教学改革: 全国AI教育教学应用 ...
2025中国AIoT产业全景图谱报告-406页
关于文献求助的一些建议
说点什么
分享
微信
QQ空间
QQ
微博
扫码加好友,拉您进群
各岗位、行业、专业交流群