全部版块 我的主页
论坛 数据科学与人工智能 数据分析与数据科学 python论坛
2764 1
2020-12-22
CDA人工智能学院致力于以优质的人工智能在线教育资源助力学员的DT职业梦想!课程内容涵盖数据分析机器学习深度学习人工智能tensorFlowPyTorch知识图谱等众多核心技术及行业案例,让每一个学员都可以在线灵活学习,快速掌握AI时代的前沿技术。PS:私信我即可获取CDA会员1个月免费试听机会

这篇文章主要介绍了Python运用于数据分析的简单教程,主要介绍了如何运用Python来进行数据导入、变化、统计和假设检验等基本的数据分析,需要的朋友可以参考下

我这里来分享一下如何通过Python来开始数据分析。具体内容如下:
    数据导入
        导入本地的或者web端的CSV文件;
    数据变换;
    数据统计描述;
    假设检验
        单样本t检验;
    可视化;
    创建自定义函数。
数据导入
这是很关键的一步,为了后续的分析我们首先需要导入数据。通常来说,数据是CSV格式,就算不是,至少也可以转换成CSV格式。在Python中,我们的操作如下:  
import pandas as pd

# Reading data locally
df = pd.read_csv('/Users/al-ahmadgaidasaad/Documents/d.csv')

# Reading data from web
data_url = "https://raw.githubusercontent.com/alstat/Analysis-with-Programming/master/2014/Python/Numerical-Descriptions-of-the-Data/data.csv"
df = pd.read_csv(data_url)

为了读取本地CSV文件,我们需要pandas这个数据分析库中的相应模块。其中的read_csv函数能够读取本地和web数据。

数据变换

既然在工作空间有了数据,接下来就是数据变换。统计学家和科学家们通常会在这一步移除分析中的非必要数据。我们先看看数据:
# Head of the data
print df.head()

# OUTPUT
Abra Apayao Benguet Ifugao Kalinga
0 1243 2934  148 3300 10553
1 4158 9235  4287 8063 35257
2 1787 1922  1955 1074  4544
3 17152 14501  3536 19607 31687
4 1266 2385  2530 3315  8520

# Tail of the data
print df.tail()

# OUTPUT
  Abra Apayao Benguet Ifugao Kalinga
74 2505 20878  3519 19737 16513
75 60303 40065  7062 19422 61808
76 6311 6756  3561 15910 23349
77 13345 38902  2583 11096 68663
78 2623 18264  3745 16787 16900

对R语言程序员来说,上述操作等价于通过print(head(df))来打印数据的前6行,以及通过print(tail(df))来打印数据的后6行。当然Python中,默认打印是5行,而R则是6行。因此R的代码head(df, n = 10),在Python中就是df.head(n = 10),打印数据尾部也是同样道理。

在R语言中,数据列和行的名字通过colnames和rownames来分别进行提取。在Python中,我们则使用columns和index属性来提取,如下:
# Extracting column names
print df.columns

# OUTPUT
Index([u'Abra', u'Apayao', u'Benguet', u'Ifugao', u'Kalinga'], dtype='object')

# Extracting row names or the index
print df.index

# OUTPUT
Int64Index([0, 1, 2, 3, 4, 5, 6, 7, 8, 9, 10, 11, 12, 13, 14, 15, 16, 17, 18, 19, 20, 21, 22, 23, 24, 25, 26, 27, 28, 29, 30, 31, 32, 33, 34, 35, 36, 37, 38, 39, 40, 41, 42, 43, 44, 45, 46, 47, 48, 49, 50, 51, 52, 53, 54, 55, 56, 57, 58, 59, 60, 61, 62, 63, 64, 65, 66, 67, 68, 69, 70, 71, 72, 73, 74, 75, 76, 77, 78], dtype='int64')

数据转置使用T方法,
# Transpose data
print df.T

# OUTPUT
   0  1  2  3  4  5  6  7  8  9
Abra  1243 4158 1787 17152 1266 5576 927 21540 1039 5424
Apayao 2934 9235 1922 14501 2385 7452 1099 17038 1382 10588
Benguet 148 4287 1955 3536 2530 771 2796 2463 2592 1064
Ifugao 3300 8063 1074 19607 3315 13134 5134 14226 6842 13828
Kalinga 10553 35257 4544 31687 8520 28252 3106 36238 4973 40140

   ...  69  70  71  72  73  74  75  76  77
Abra  ... 12763 2470 59094 6209 13316 2505 60303 6311 13345
Apayao ... 37625 19532 35126 6335 38613 20878 40065 6756 38902
Benguet ...  2354 4045 5987 3530 2585 3519 7062 3561 2583
Ifugao ...  9838 17125 18940 15560 7746 19737 19422 15910 11096
Kalinga ... 65782 15279 52437 24385 66148 16513 61808 23349 68663

   78
Abra  2623
Apayao 18264
Benguet 3745
Ifugao 16787
Kalinga 16900

其他变换,例如排序就是用sort属性。现在我们提取特定的某列数据。Python中,可以使用iloc或者ix属性。但是我更喜欢用ix,因为它更稳定一些。假设我们需数据第一列的前5行,我们有:
print df.ix[:, 0].head()

# OUTPUT
0  1243
1  4158
2  1787
3 17152
4  1266
Name: Abra, dtype: int64

顺便提一下,Python的索引是从0开始而非1。为了取出从11到20行的前3列数据,我们有:
print df.ix[10:20, 0:3]

# OUTPUT
Abra Apayao Benguet
10 981 1311  2560
11 27366 15093  3039
12 1100 1701  2382
13 7212 11001  1088
14 1048 1427  2847
15 25679 15661  2942
16 1055 2191  2119
17 5437 6461  734
18 1029 1183  2302
19 23710 12222  2598
20 1091 2343  2654

上述命令相当于df.ix[10:20, ['Abra', 'Apayao', 'Benguet']]。

为了舍弃数据中的列,这里是列1(Apayao)和列2(Benguet),我们使用drop属性,如下:
print df.drop(df.columns[[1, 2]], axis = 1).head()

# OUTPUT
Abra Ifugao Kalinga
0 1243 3300 10553
1 4158 8063 35257
2 1787 1074  4544
3 17152 19607 31687
4 1266 3315  8520

axis 参数告诉函数到底舍弃列还是行。如果axis等于0,那么就舍弃行。

统计描述

下一步就是通过describe属性,对数据的统计特性进行描述:
print df.describe()

# OUTPUT
    Abra  Apayao  Benguet  Ifugao  Kalinga
count  79.000000  79.000000 79.000000  79.000000  79.000000
mean 12874.379747 16860.645570 3237.392405 12414.620253 30446.417722
std 16746.466945 15448.153794 1588.536429 5034.282019 22245.707692
min  927.000000 401.000000 148.000000 1074.000000 2346.000000
25%  1524.000000 3435.500000 2328.000000 8205.000000 8601.500000
50%  5790.000000 10588.000000 3202.000000 13044.000000 24494.000000
75% 13330.500000 33289.000000 3918.500000 16099.500000 52510.500000
max 60303.000000 54625.000000 8813.000000 21031.000000 68663.000000

假设检验

Python有一个很好的统计推断包。那就是scipy里面的stats。ttest_1samp实现了单样本t检验。因此,如果我们想检验数据Abra列的稻谷产量均值,通过零假设,这里我们假定总体稻谷产量均值为15000,我们有:

from scipy import stats as ss

# Perform one sample t-test using 1500 as the true mean
print ss.ttest_1samp(a = df.ix[:, 'Abra'], popmean = 15000)

# OUTPUT
(-1.1281738488299586, 0.26270472069109496)

返回下述值组成的元祖:
    t : 浮点或数组类型
    t统计量
    prob : 浮点或数组类型
    two-tailed p-value 双侧概率值

通过上面的输出,看到p值是0.267远大于α等于0.05,因此没有充分的证据说平均稻谷产量不是150000。将这个检验应用到所有的变量,同样假设均值为15000,我们有:
print ss.ttest_1samp(a = df, popmean = 15000)

# OUTPUT
(array([ -1.12817385, 1.07053437, -65.81425599, -4.564575 , 6.17156198]),
array([ 2.62704721e-01, 2.87680340e-01, 4.15643528e-70,
   1.83764399e-05, 2.82461897e-08]))

第一个数组是t统计量,第二个数组则是相应的p值。

可视化

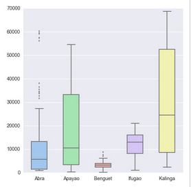
Python中有许多可视化模块,最流行的当属matpalotlib库。稍加提及,我们也可选择bokeh和seaborn模块。之前的博文中,我已经说明了matplotlib库中的盒须图模块功能。

20170731124613_94992.png


# Import the module for plotting
import matplotlib.pyplot as plt
plt.show(df.plot(kind = 'box'))

现在,我们可以用pandas模块中集成R的ggplot主题来美化图表。要使用ggplot,我们只需要在上述代码中多加一行,
import matplotlib.pyplot as plt
pd.options.display.mpl_style = 'default' # Sets the plotting display theme to ggplot2
df.plot(kind = 'box')

这样我们就得到如下图表:

20170731124640_11826.png

比matplotlib.pyplot主题简洁太多。但是在本博文中,我更愿意引入seaborn模块,该模块是一个统计数据可视化库。因此我们有:

20170731124701_11751.png


# Import the seaborn library
import seaborn as sns
# Do the boxplot
plt.show(sns.boxplot(df, widths = 0.5, color = "pastel"))

多性感的盒式图,继续往下看。

20170731124724_30831.png


plt.show(sns.violinplot(df, widths = 0.5, color = "pastel"))

20170731124754_75635.png


plt.show(sns.distplot(df.ix[:,2], rug = True, bins = 15))

20170731124824_71974.png


with sns.axes_style("white"):
plt.show(sns.jointplot(df.ix[:,1], df.ix[:,2], kind = "kde"))

20170731124848_11537.png


plt.show(sns.lmplot("Benguet", "Ifugao", df))

创建自定义函数
Python中,我们使用def函数来实现一个自定义函数。例如,如果我们要定义一个两数相加的函数,如下即可:
def add_2int(x, y):
return x + y

print add_2int(2, 2)

# OUTPUT

顺便说一下,Python中的缩进是很重要的。通过缩进来定义函数作用域,就像在R语言中使用大括号{…}一样。这有一个我们之前博文的例子:
    产生10个正态分布样本,其中u=3和o.
    基于95%的置信度,计算 x_bar 和 x_bar2 ;
    重复100次; 然后
    计算出置信区间包含真实均值的百分比

Python中,程序如下:
import numpy as np
import scipy.stats as ss

def case(n = 10, mu = 3, sigma = np.sqrt(5), p = 0.025, rep = 100):
m = np.zeros((rep, 4))

for i in range(rep):
  norm = np.random.normal(loc = mu, scale = sigma, size = n)
  xbar = np.mean(norm)
  low = xbar - ss.norm.ppf(q = 1 - p) * (sigma / np.sqrt(n))
  up = xbar + ss.norm.ppf(q = 1 - p) * (sigma / np.sqrt(n))

  if (mu > low) & (mu < up):
   rem = 1
  else:
   rem = 0

  m[i, :] = [xbar, low, up, rem]

inside = np.sum(m[:, 3])
per = inside / rep
desc = "There are " + str(inside) + " confidence intervals that contain "
   "the true mean (" + str(mu) + "), that is " + str(per) + " percent of the total CIs"

return {"Matrix": m, "Decision": desc}

上述代码读起来很简单,但是循环的时候就很慢了。下面针对上述代码进行了改进,这多亏了Python专家。
import numpy as np
import scipy.stats as ss

def case2(n = 10, mu = 3, sigma = np.sqrt(5), p = 0.025, rep = 100):
scaled_crit = ss.norm.ppf(q = 1 - p) * (sigma / np.sqrt(n))
norm = np.random.normal(loc = mu, scale = sigma, size = (rep, n))

xbar = norm.mean(1)
low = xbar - scaled_crit
up = xbar + scaled_crit

rem = (mu > low) & (mu < up)
m = np.c_[xbar, low, up, rem]

inside = np.sum(m[:, 3])
per = inside / rep
desc = "There are " + str(inside) + " confidence intervals that contain "
   "the true mean (" + str(mu) + "), that is " + str(per) + " percent of the total CIs"
return {"Matrix": m, "Decision": desc}

0D04CBB8996CB009643B8D6FD844F0C0.jpg

关注“CDA人工智能学院”,回复“录播”获取更多人工智能精选直播视频!


附件列表
20170731124701_11751.png

原图尺寸 23.17 KB

20170731124701_11751.png

二维码

扫码加我 拉你入群

请注明:姓名-公司-职位

以便审核进群资格,未注明则拒绝

全部回复
2022-5-13 09:55:39
感谢分享!
二维码

扫码加我 拉你入群

请注明:姓名-公司-职位

以便审核进群资格,未注明则拒绝

相关推荐
栏目导航
热门文章
推荐文章

说点什么

分享

扫码加好友,拉您进群
各岗位、行业、专业交流群