经管之家App
让优质教育人人可得
立即打开
全部版块
我的主页
›
论坛
›
休闲区 十二区
›
坛友说
›
一带一路
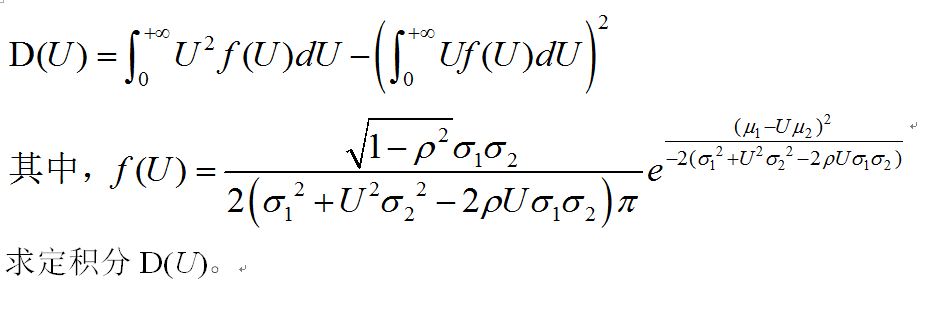
求教定积分
楼主
xinzhumeng
937
0
收藏
2021-01-17
不知道这个定积分是否可积,如果积分可积,
D(
U
)
等于多少;如果不可积,为什么?
ρ
、
σ
1
、
σ
2
、
μ
1
、
μ
2
和
π
均为常数,其中
π
是圆周率(约等于
3.14
),只有
U
是变量。
扫码加我 拉你入群
请注明:姓名-公司-职位
以便审核进群资格,未注明则拒绝
栏目导航
一带一路
行业分析报告
经管文库
求助成功区
stata专版
文献求助专区
热门文章
CDA 认证考试大纲 2025 重磅更新:一二级考 ...
失去的三十年:平成日本经济史(【日】野口 ...
表格结构数据的核心特征及具象实例解析
表格结构数据特征与CDA数据分析师:精准适配 ...
2026中信里昂风水指数
2026年中国白银行业市场供需现状及发展趋势 ...
人工智能时代的智能教育(英)
中国智能家电市场趋势洞察
新宏观丨豆包,传统经济学与商学对全球性债 ...
毕马威 - 中国内地与香港IPO市场2025年回顾 ...
推荐文章
2026JG学术冬训营:从Stata初高到Python机器 ...
【必看】【本版版规,欢迎发悬赏贴求助】
26年寒假天津站|Gemini论文写作&数据分析 ...
关于如何利用文献的若干建议
关于学术研究和论文发表的一些建议
关于科研中如何学习基础知识的一些建议 (一 ...
一个自编的经济学建模小案例 --写给授课本科 ...
AI智能体赋能教学改革: 全国AI教育教学应用 ...
2025中国AIoT产业全景图谱报告-406页
关于文献求助的一些建议
说点什么
分享
微信
QQ空间
QQ
微博
扫码加好友,拉您进群
各岗位、行业、专业交流群