全部版块 我的主页
论坛 数据科学与人工智能 数据分析与数据科学 MATLAB等数学软件专版
3357 1
2011-03-08
悬赏 10 个论坛币 未解决
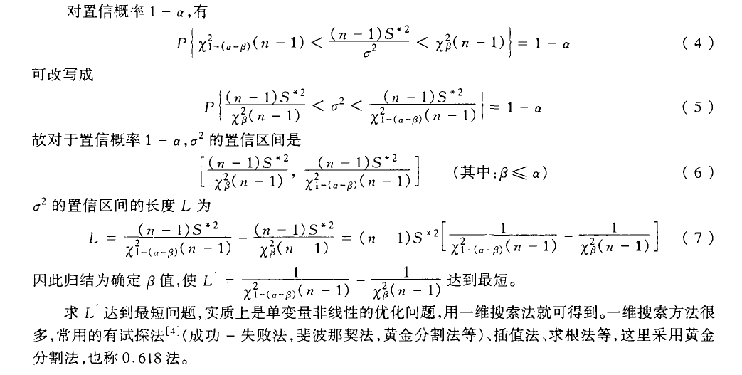
我依照图片里的方法和算法求F分布的最短置信区间。
算法在图片里。

我自己编的matlab程序。
程序1:
function [z1,z2]=gold1(alpha)
e=10^-6;
a=0;
b=alpha;
beta1=a+0.382*(b-a);
beta2=a+0.618*(b-a);
L1=Fx1(1-alpha+beta1)-Fx1(beta1);
L2=Fx1(1-alpha+beta2)-Fx1(beta2);
while 1;
        if L1<L2
            b=beta2;
            beta2=beta1;
            L2=L1;
            beta1=a+0.382*(b-a);
            L1=Fx1(1-alpha+beta1)-Fx1(beta1);
        else
            a=beta1;
            beta1=beta2;
            L1=L2;
            beta2=a+0.618*(b-a);
            L2=Fx1(1-alpha+beta2)-Fx1(beta2);
        end
        if abs(beta2-beta1)<e
            beta=(beta1+beta2)/2;
            break;
        end
end
z1=Fx1(1-alpha+beta);
z2=Fx1(beta);
end

程序2:
function [x]=Fx1(beta)
e=10^-6;
a=0;
b=1000;
c=(a+b)/2;
while 1;
    x0=c;
    F=Fcdf(x0,1,1);
    if F<(1-beta)
        a=c;
        c=(a+b)/2;
    else
        b=c;
        c=(a+b)/2;
    end
    if abs(b-a)<e;
        x=c;
        break;
    end
end
x;
end

我是依照这里的算法编的,而我求的是F分布的最短置信区间。
本人是菜鸟,很多东西都没弄明白,在这里虚心向各位前辈、大侠求解!希望高手帮我修改修改,指点指点!感激不尽!!
最短置信区间问题.png

原图尺寸 43.81 KB

最短置信区间问题.png

黄金分割法.png

原图尺寸 58.08 KB

黄金分割法.png

二维码

扫码加我 拉你入群

请注明:姓名-公司-职位

以便审核进群资格,未注明则拒绝

全部回复
2016-8-9 22:44:14
可以参考基于MATLAB小样本的最短置信区间http://www.docin.com/p-1267305458.html
二维码

扫码加我 拉你入群

请注明:姓名-公司-职位

以便审核进群资格,未注明则拒绝

相关推荐
栏目导航
热门文章
推荐文章

说点什么

分享

扫码加好友,拉您进群
各岗位、行业、专业交流群