经管之家App
让优质教育人人可得
立即打开
全部版块
我的主页
›
论坛
›
计量经济学与统计论坛 五区
›
计量经济学与统计软件
大侠求助
楼主
alongisme
1188
0
收藏
2011-03-18
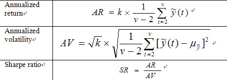
小弟刚开始做金融数据的分析。碰到两个经济学指标,在别人论文里面看到这样的定义
不知道这样定义对不对,我看有些地方不是这么定义的。还有那个K在具体分析的每个阶段是不是都是一样的?
扫码加我 拉你入群
请注明:姓名-公司-职位
以便审核进群资格,未注明则拒绝
相关推荐
经济新人
马上就要考试了,想知道热点?
帮帮忙,考研方向的选择
研究农村金融数据容不容易获得?
大虾们 能给个点拨吗? ---浑浑噩噩的我很期待
学经济的去什么类型的公司实现好?
本人想考央财的研,请教各位经验~~
那些你熟悉的面孔背后,有你不知道的经济学
同志经济学:你不知道的隐秘商机
求助代码
栏目导航
计量经济学与统计软件
商学院
数据交流中心
经管文库(原现金交易版)
学术道德监督
经管高考
热门文章
投资人与创始人互坑套路
中国金融生成式AI多模态内容鉴伪与安全防御 ...
全球能源转型展望2025—全球和区域预测至20 ...
海外资管机构赴上海投资指南(2025版)
2031年全球变频抽油烟机市场规模将接近167. ...
understanding climate change perceptions ...
【全美经典】离散数学
世界机器人2025年报告 World Robotics 2025
甲子光年_2025甲子Cool Vendor人形机器人大 ...
全球能源转型展望2025—全球和区域预测至20 ...
推荐文章
AI狂潮席卷学术圈,不会编程也能打造专属智 ...
10月重磅来袭|《打造Coze/Dify专属学术智能 ...
最快1年拿证,学费不足5W!热门美国人工智能 ...
关于如何利用文献的若干建议
关于学术研究和论文发表的一些建议
关于科研中如何学习基础知识的一些建议 (一 ...
一个自编的经济学建模小案例 --写给授课本科 ...
AI智能体赋能教学改革: 全国AI教育教学应用 ...
2025中国AIoT产业全景图谱报告-406页
关于文献求助的一些建议
说点什么
分享
微信
QQ空间
QQ
微博
扫码加好友,拉您进群
各岗位、行业、专业交流群