全部版块 我的主页
论坛 提问 悬赏 求职 新闻 读书 功能一区 经管文库(原现金交易版)
1523 0
2021-04-26
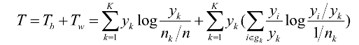
   2011-2018年中国31个省份(北京、天津、河北、山西等省份)泰尔指数合集,详细全面,整合来源于中国统计年鉴,由excel求出。
公式可以参考图片附件

附件列表
搜狗截图20210426142214.png

原图尺寸 8.48 KB

搜狗截图20210426142214.png

2011-2018年中国31个省份泰尔指数(完整版).xlsx

大小:11.98 KB

只需: RMB 20 元  马上下载

漏上传2018年数据

2011-2018年中国31个省份泰尔指数(完整版).xlsx

大小:12.36 KB

只需: RMB 20 元  马上下载

包含2018年数据

二维码

扫码加我 拉你入群

请注明:姓名-公司-职位

以便审核进群资格,未注明则拒绝

相关推荐
栏目导航
热门文章
推荐文章

说点什么

分享

扫码加好友,拉您进群
各岗位、行业、专业交流群