经管之家App
让优质教育人人可得
立即打开
全部版块
我的主页
›
论坛
›
计量经济学与统计论坛 五区
›
计量经济学与统计软件
›
Stata专版
Stata导入空间权重矩阵dbf格式的文件出现错误,详情见文。求求大佬们帮忙看一下!!!
楼主
YZBU
2086
0
收藏
2021-05-30
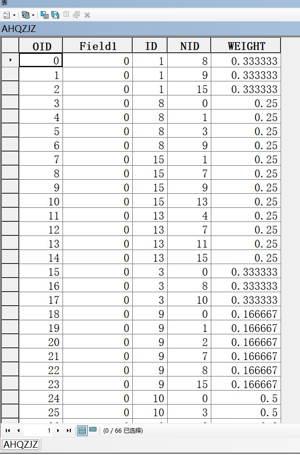
生成空间权重矩阵时,我按教程操作先用Arcgis生成了一个空间权重矩阵的dbf格式的文件,但是当用Stata命令导入这个dbf文件时总是出现下图这个错误:invalid 'i' 。请问应该怎么解决?或者说还有没有其他可以用的命令?
(注:图1是教程上的命令;图2是我的stata出错命令;图3是空间权重矩阵dbf格式的属性表)
附件列表
3.jpg
原图尺寸 142.69 KB
图3
2.jpg
原图尺寸 131.71 KB
图2
1.jpg
原图尺寸 72.33 KB
图1
扫码加我 拉你入群
请注明:姓名-公司-职位
以便审核进群资格,未注明则拒绝
相关推荐
如何用stata生成面板空间权重矩阵?格式是什么,命令呢?
stata中如何计算面板的空间权重矩阵和变量的乘积
如何把生成的空间权重矩阵和面板数据一同导入stata中?
stata如何利用引力数据库中的接壤数据构造空间权重矩阵?
根据经纬度stata制空间权重矩阵代码数据
stata中画莫兰散点图时显示空间权重矩阵没有标准化?怎么做
Stata空间权重矩阵应该怎么排版?
请问stata怎么生成空间权重矩阵
关于stata构建空间权重矩阵相关
Stata做空间权重矩阵时一直出现这个错误怎么解决?
栏目导航
Stata专版
人工智能论文版
经管高考
经管文库(原现金交易版)
金融学(理论版)
CFA、CVA、FRM等金融考证论坛
热门文章
CDA数据分析脱产就业班于2026年3月7日开班! ...
天堂的证据(〔美〕埃本·亚历山大)
半导体行业分析手册之二:混合键合设备,AI ...
芜湖造船厂为我国高端船舶制造自主创新再添 ...
表格结构数据特征与CDA数据分析师:精准适配 ...
CDA 认证考试大纲 2025 重磅更新:一二级考 ...
在概率与代码之间:Agent Skills 是 AI 的枷 ...
新宏观丨豆包,传统经济学与商学对全球性债 ...
失去的三十年:平成日本经济史(【日】野口 ...
硅光芯片代工爆发式增长,重构全球半导体产 ...
推荐文章
2026JG学术冬训营:从Stata初高到Python机器 ...
【必看】【本版版规,欢迎发悬赏贴求助】
【新课】26年3月|Gemini辅助论文写作与数据 ...
关于如何利用文献的若干建议
关于学术研究和论文发表的一些建议
关于科研中如何学习基础知识的一些建议 (一 ...
一个自编的经济学建模小案例 --写给授课本科 ...
AI智能体赋能教学改革: 全国AI教育教学应用 ...
2025中国AIoT产业全景图谱报告-406页
关于文献求助的一些建议
说点什么
分享
微信
QQ空间
QQ
微博
扫码加好友,拉您进群
各岗位、行业、专业交流群