如题,

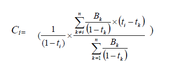
我正在研究跨国公司的利润转移问题,回归中一个重要参数C长下面这个样子,其中ti和tk指的分别是国家i和k的税率,Bk指的是某跨国公司(的子公司)在国家k上报的税前利润。想请问一下用stata或者R的哪个函数可以实现这样的计算呢?放在数据中就是,比如下图这五家子公司属于同一家母公司,他们在5个不同的国家。ebta就是式子中的B,然后ctax是税率。那么计算在AUT的子公司的C就需要AUT和剩下四个国家的税率分别作差,再分别乘以由利润和税率得出的权重,中间还得加起来。对于我这种入门级编程选手这真的有些过于复杂了,真诚跪求大神的指导!!哪怕给点思路也是可以的!!万分感谢!!!