经管之家App
让优质教育人人可得
立即打开
全部版块
我的主页
›
论坛
›
计量经济学与统计论坛 五区
›
计量经济学与统计软件
›
LISREL、AMOS等结构方程模型分析软件
求解潜变量有调节的平行中介问题
楼主
skx12
1374
1
收藏
2021-07-12
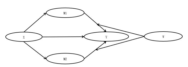
求助,原本研究的理论模型如上图,结果W在M2的中介路径中有调节效应,但在M1路径中没有,但是浏览文献之后,发现W也可能在直接路径中发挥调节作用,所以添加了X和W的交互项,此时发现W在直接路径和M1以及M2中都具有调节效应,请问这种可能的原因是什么?
扫码加我 拉你入群
请注明:姓名-公司-职位
以便审核进群资格,未注明则拒绝
全部回复
沙发
毛茸茸的光头
2021-7-14 09:01:49
哇,好丑的模型
扫码加我 拉你入群
请注明:姓名-公司-职位
以便审核进群资格,未注明则拒绝
相关推荐
潜变量调节效应AMOS 交互项的测量模型不显著 正常吗?
求教怎么做潜变量的调节效应!
调节效应
潜变量
一个潜变量和一个显变量能做交互吗?盼指点!
中介效应和调节效应可以同时显著吗?
数据少,如何检验调节效应(调节变量是潜变量)
求助一个有关交互项的问题:A和B不显著,B和C的交互效应显著,那么C对A和B的调节效应
求助一个有关交互项的问题:A和B不显著,B和C的交互效应显著,那么C对A和B的调节效应
潜变量的调节效应
栏目导航
LISREL、AMOS等结构方程模型分析软件
产业经济学
休闲灌水
行为经济学与实验经济学
商学院
学术道德监督
热门文章
张川川 对经济学期刊审稿工作的几点思考
CDA 认证考试大纲 2025 重磅更新:一二级考 ...
一文了解11种最常见的机器学习算法应用场景
新宏观丨盛松成教授是传统经济学者中少有的 ...
元旦致辞:以初心,敬新岁,二十载,再启航 ...
板材十大品牌 2025-2026 揭晓 香格里国际五 ...
笠翁对韵PDF
饲料行业全面深入分析:2026 - 2032年CAGR为 ...
轮胎成型模具行业全面深度分析:2026 - 203 ...
【24重磅,自用整理!】2003-2024上市公司战略 ...
推荐文章
26年寒假天津站|Gemini论文写作&数据分析 ...
2026JG学术冬训营:从Stata初高到Python机器 ...
关于如何利用文献的若干建议
关于学术研究和论文发表的一些建议
关于科研中如何学习基础知识的一些建议 (一 ...
一个自编的经济学建模小案例 --写给授课本科 ...
AI智能体赋能教学改革: 全国AI教育教学应用 ...
2025中国AIoT产业全景图谱报告-406页
关于文献求助的一些建议
几种免费下载文献的方法----我的文献应助经
说点什么
分享
微信
QQ空间
QQ
微博
扫码加好友,拉您进群
各岗位、行业、专业交流群