全部版块 我的主页
论坛 提问 悬赏 求职 新闻 读书 功能一区 经管文库(原现金交易版)
2676 9
2021-08-13
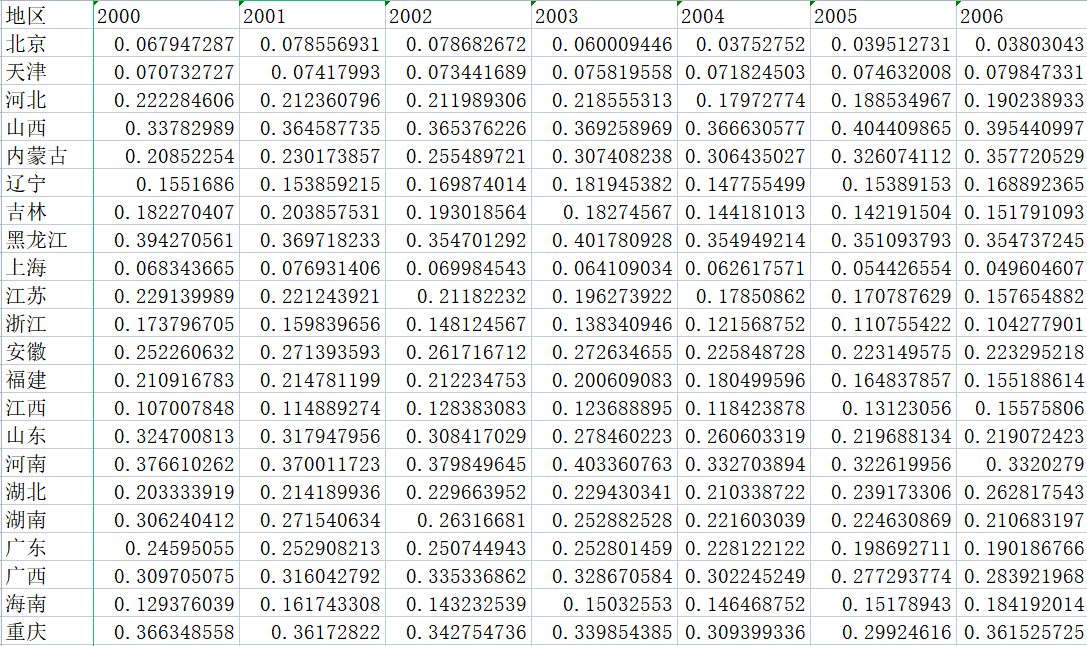
2000-2019分省份产业结构合理化指数(泰尔指数)
2000-2019分省份产业结构合理化指数
就业人数来源:权威数据库WIND,个别省份少量缺失值已补齐
产业增加值来源:中经网数据库,已同统计局核对无误
包含基础指标,供使用者校对
测算产业结构合理化:汇总.xlsx
大小:(229.42 KB)

只需: RMB 28元  马上下载


点上面附件图标,上传附件后可设置现金定价
QQ图片20210813110023.png
二维码

扫码加我 拉你入群

请注明:姓名-公司-职位

以便审核进群资格,未注明则拒绝

全部回复
2021-8-18 21:32:44
别买这个人的 以前买了收钱就不管了
二维码

扫码加我 拉你入群

请注明:姓名-公司-职位

以便审核进群资格,未注明则拒绝

2021-8-19 10:42:53
vpr9501836 发表于 2021-8-18 21:32
别买这个人的 以前买了收钱就不管了
????花10元钱,想提供100元的服务?
二维码

扫码加我 拉你入群

请注明:姓名-公司-职位

以便审核进群资格,未注明则拒绝

2021-8-19 15:57:39
沃沃的依家 发表于 2021-8-19 10:42
????花10元钱,想提供100元的服务?
呵呵 10元?要晒记录? 这个数据我有免费的 需要的留言
二维码

扫码加我 拉你入群

请注明:姓名-公司-职位

以便审核进群资格,未注明则拒绝

2021-8-21 14:37:02
vpr9501836 发表于 2021-8-19 15:57
呵呵 10元?要晒记录? 这个数据我有免费的 需要的留言
您好,求31个省2000-2019产业结构合理化的数据,感谢!!
二维码

扫码加我 拉你入群

请注明:姓名-公司-职位

以便审核进群资格,未注明则拒绝

2021-8-29 14:57:27
vpr9501836 发表于 2021-8-19 15:57
呵呵 10元?要晒记录? 这个数据我有免费的 需要的留言
您好,想要一份数据,邮箱:MrAliny@163.com
万分感谢🙏!
二维码

扫码加我 拉你入群

请注明:姓名-公司-职位

以便审核进群资格,未注明则拒绝

点击查看更多内容…
相关推荐
栏目导航
热门文章
推荐文章

说点什么

分享

扫码加好友,拉您进群
各岗位、行业、专业交流群