全部版块 我的主页
论坛 提问 悬赏 求职 新闻 读书 功能一区 经管文库(原现金交易版)
1251 2
2021-09-04
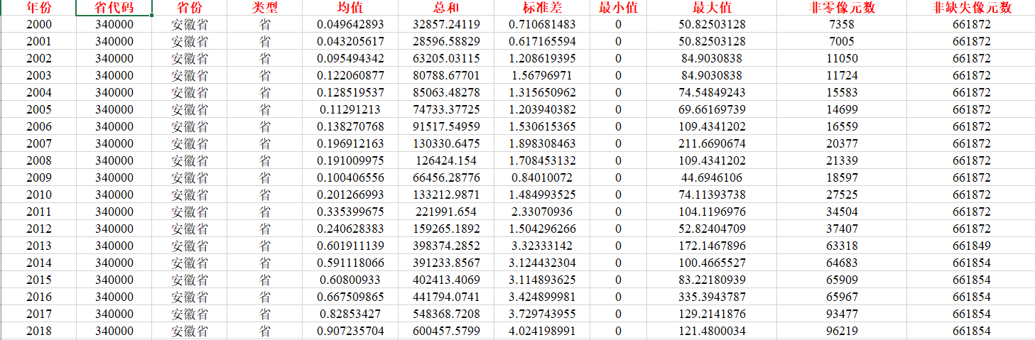
2000-2018年中国省级、城市、县区夜间灯光数据,样本时间新,数据量大,整理的非常完整,十分规范,排版也很漂亮,节省您大量收集与整理时间,使用过程中如有任何疑问,可以加q2961096086交流,基本可以满足毕业论文写作和科研需求,绝对物有所值!希望对论坛各位同学毕业论文以及论文发表有所帮助,衷心祝愿论坛各位同学毕业和发文顺利!
2000~2018年全国各省份夜间灯光数据.xlsx
大小:(71.71 KB)

只需: RMB 199元  马上下载

2000~2018年全国各城市夜间灯光数据.xlsx
大小:(749.46 KB)

只需: RMB 259元  马上下载


数据截图1.jpg 数据截图.jpg 数据截图3.jpg
二维码

扫码加我 拉你入群

请注明:姓名-公司-职位

以便审核进群资格,未注明则拒绝

全部回复
2021-9-5 00:16:45
13年之后只有viirs的,两个不一样,你怎么处理的?
二维码

扫码加我 拉你入群

请注明:姓名-公司-职位

以便审核进群资格,未注明则拒绝

2021-9-5 09:54:48
小二胖团 发表于 2021-9-5 00:16
13年之后只有viirs的,两个不一样,你怎么处理的?
您好,如果需要,可以叫好友交流,谢谢
二维码

扫码加我 拉你入群

请注明:姓名-公司-职位

以便审核进群资格,未注明则拒绝

相关推荐
栏目导航
热门文章
推荐文章

说点什么

分享

扫码加好友,拉您进群
各岗位、行业、专业交流群